GSMGC-017 (2024) : Guide de construction des zones de discussion sécurisées
Sur cette page
- Avant-propos
- Préface et remerciements
- Date d'entrée en vigueur
- Registre des modifications
- Introduction
- Coordonnées
- Liste des acronymes et abréviations
- Glossaire
- SPC et contexte des normes
- Gestion des projets liés à la confidentialité des entretiens
- Sélection des critères de confidentialité des entretiens en fonction des valeurs SPC
- Détails de conception pour la confidentialité des entretiens exprimée en SPC
- Évaluation des éléments architecturaux d'isolation acoustique des pièces fermées
- Détermination des intervalles de confiance
- Essais du SPC pendant la phase de construction
- Documents de référence et documents sources
- Promulgation
Formats substituts
Liste des tableaux
- Tableau 1: Critères relatifs au SPC et catégories d'information
- Tableau 2: Valeurs TL(moy) et ITS moyennes pour les types de murs en plaques de plâtre
- Tableau 3: Combinations de couches de plaques de plâtre comprises dans les murs Tableau 4: Configuration des poteaux
- Tableau 5: TL(moy) et ITS pour 20 types de murs en blocs de béton
- Tableau 6: Dimensions et masse par unité de surface murale pour les blocs de béton
- Tableau 7: Types de montage de plaques de plâtre sur des murs en blocs
- Tableau 8: TL(moy) et ITS pour 11 types de murs en blocs de béton
- Tableau 9: TL(moy) et ITS pour 10 types de fenêtres
- Tableau 10a: Valeurs TL(moy) et ITS pour les portes en acier
- Tableau 10b: Valeurs TL(moy) et ITS pour les portes en bois
- Tableau 11: TL(moy) et ITS pour cinq types de planchers en béton
- Tableau 12: Conseils de conception pour la confidentialité des entretiens
- Tableau 13: Niveau de confidentialité fourni par certains SPC
Avant-propos
Le document GSMGC-017 - Guide de construction des zones de discussion sécurisées est une publication NON CLASSIFIÉE, diffusée avec l'autorisation du principal organisme responsable de la sécurité matérielle (POSM) de la Gendarmerie royale du Canada (GRC).
Cette publication du gouvernement du Canada constitue un guide sur les éléments à considérer et les pratiques exemplaires pour la construction des zones de discussion sécurisées destinées à assurer la confidentialité des entretiens à l'intention des ministères, des agences et des employés du gouvernement du Canada.
Les suggestions de modifications et les autres renseignements peuvent être envoyés au principal organisme responsable de la sécurité de la GRC par courriel : rcmp.lsa-grc.posm@rcmp-grc.gc.ca.
Préface et remerciements
Cette section vise à mettre en évidence le lien entre le présent guide et le document « Confidentialité des entretiens : Guide des règles de l'art » dont la rédaction a été mandatée en 2014, et qui a été publié par Services publics et Approvisionnement Canada (SPAC) à titre de guide ministériel en 2021.
Le Guide des règles de l'art a été le fruit de la collaboration et des importants efforts de recherche de SPAC, du Conseil national de recherche du Canada (CNRC), de la Gendarmerie royale du Canada (GRC) et d'experts du secteur privé. L'objectif était de présenter les lignes directrices à suivre pour répondre aux exigences en matière de confidentialité des entretiens dans les locaux à bureaux. L'objectif était d'établir un ensemble de lignes directrices sur la confidentialité des entretiens dans les pièces fermées pour aider à construire des locaux à bureaux conformes. Le POSM de la GRC s'est donné comme mandat d'approuver le Guide des règles de l'art et de l'adapter pour qu'il convienne à l'ensemble du GC.
La rédaction et la publication du présent guide auraient été impossibles sans l'immense contribution des auteurs initiaux du Guide des règles de l'art, du CNRC, de la GRC et de SPAC (anciennement Travaux publics et Services gouvernementaux Canada). On consultera les contributeurs au sujet des futures mises à jour du présent guide.
Date d'entrée en vigueur
La date d'entrée en vigueur du document GSMGC-017 - Guide de construction des zones de discussion sécurisées est le 2022-12-12.
Registre des modifications
No de modification | Date | Auteur | Sommaire des modifications |
---|---|---|---|
1 | 2023-06-09 | D. Pumphrey | Fixed email link directing to wrong address |
2 | 2024-02-07 | T.R. Murphy | Examen pour mise à jour |
Remarque : Le responsable des modifications est le principal organisme responsable de la sécurité matérielle de la Gendarmerie royale du Canada (POSM de la GRC).
Introduction
Objet
Le présent guide a pour but de fournir aux employés du gouvernement du Canada (GC) des renseignements sur les exigences pour créer une zone de discussion sécurisée (ZDS). Les employés devraient également consulter les politiques, directives, normes, processus et guides de sécurité de leur ministère pour obtenir des renseignements et des directives supplémentaires.
Applicabilité
Le présent guide précise les exigences de sécurité matérielle pour créer des aires insonorisées. Toutefois, il est possible qu'il ne couvre pas toutes les exigences liées à la sécurité de la GI/TI (cybersécurité) applicables aux systèmes du GC utilisés dans la création, le traitement ou le stockage de renseignements électroniques.
Considérations relatives à la technologie de l'information
En raison des menaces en constante évolution qui nous entourent et de la convergence de la sécurité matérielle et de la sécurité des technologies de l'information, il est crucial d'évaluer le risque associé à l'utilisation des applications et/ou des logiciels connectés à un réseau qui servent à faire fonctionner l'équipement et à le prendre en charge dans les édifices à accès contrôlé du gouvernement du Canada. Quelques exemples de ces applications ou de ces logiciels de commande peuvent comprendre, entre autres, l'éclairage de sécurité, les barrières de périmètre, les portes, le CVCA, etc.
Avant de mettre en place une application et/ou un logiciel pour commander et/ou automatiser certaines fonctions de l'édifice, la sécurité ministérielle demande qu'une évaluation de sécurité et autorisation (ESA) soit effectuée. Cette ESA garantira le maintien de l'intégrité et de la disponibilité des composants contrôlés par les applications et/ou les logiciels ainsi que l'atténuation de tout risque mis en évidence. Il est fortement recommandé de commencer le processus d'ESA tôt pour s'assurer du respect de l'échéancier de livraison du projet. Pour plus d'information sur le processus d'ESA, consulter la sécurité ministérielle
Coordonnées
Pour plus d'informations, contacter :
- Courrier
-
GRC Principale organisme responsable de la sécurité matérielle
73 promenade Leikin, arrêt postal 165
Ottawa ON K1A 0R2 - Courriel
- rcmp.lsa-grc.posm@rcmp-grc.gc.ca
Liste des acronymes et abréviations
Liste des acronymes et abréviations
- ASHRAE
- Société américaine des ingénieurs en chauffage, réfrigération et climatisation
- ASTM
- American Society for Testing Material
- CN
- Catégorie de netteté
- CNRC
- Conseil national de recherches du Canada
- CTS
- Classe de transmission sonore
- EAS
- Évaluation de sécurité et autorisation
- EASI
- Évaluation et autorisation liées à la sécurité des installations
- EMR
- Évaluation des menaces et des risques
- GC
- Gouvernement du Canada
- GRC
- Gendarmerie royale du Canada
- IIC
- Indice d'intelligibilité des conversations
- IN
- Indice de netteté
- ITS
- Indice de transmission du son
- LIISC
- Local isolé pour l'information sensible cloisonnée
- POSM
- Principal organisme responsable de la sécurité matérielle
- Rapport S/B
- Rapport signal sur bruit
- SNGP
- Système national de gestion de projet
- SPAC
- Services publics et Approvisionnement Canada
- SPC
- Speech Privacy Class (degré de confidentialité des entretiens)
- TI
- Technologies de l'information
- TL
- Transmission Loss (affaiblissement acoustique)
- ZDS
- Zone de discussion sécurisée
Glossaire
Glossaire
- Catégorie de netteté
- Système de classement par numéro simple servant à déterminer l'atténuation acoustique des murs, des plafonds, des bureaux, des chaises, etc. dans un environnement ouvert.
- Indice de netteté
- Méthode d'essai utilisée pour mesurer la confidentialité des entretiens dans des locaux sur un plan d'étage ouvert (bureaux, salles de réunion, etc.) et qui indique l'incidence des bruits de fond sur le volume des entretiens.
- Actif
- Biens corporels ou incorporels du gouvernement du Canada. Ce terme s'applique, sans toutefois s'y limiter, aux renseignements, sous toutes leurs formes et quel que soit leur support, aux réseaux, aux systèmes, au matériel, aux biens immobiliers, aux ressources financières, à la confiance des employés et du public et à la réputation internationale.
- Atténuation
- Affaiblissement de la qualité du son lorsque ce dernier traverse différents objets ou épaisseurs.
- Installation
- Terme pouvant désigner un bâtiment (en totalité ou en partie) et qui peut comprendre son site ou terrain, ou pouvant désigner une aire ou une construction qui n'est pas un bâtiment (c'est-à-dire, champs de tirs, champs agricoles).
- Indice d'intelligibilité des conversations
- Mesure physique directement liée à l'intelligibilité des conversations qui est calculée à partir de mesures acoustiques du bruit et des conservations.
SPC et contexte des normes
Avant l'application de la norme E2638 de l'American Society for Testing Material (ASTM) et des critères relatifs au degré de confidentialité des entretiens (SPC), il n'existait aucune norme particulière permettant de quantifier de façon définitive les exigences en matière de confidentialité des entretiens ou d'en évaluer la conformité. Dans certains cas, on a tenté d'adapter les normes élaborées pour définir la qualité et l'intelligibilité de la parole à divers points de réception à l'intérieur d'une grande salle ou d'un auditorium ainsi que de définir la perte de la qualité et de l'intelligibilité de la parole aux points de réception situés à l'extérieur de cette salle. Il s'agissait de normes et de terminologie comme l'indice d'intelligibilité des conversations (IIC - ANSI S3.5), l'indice de netteté (IN - ASTM E1130) et la catégorie de netteté (CN - ASTM E1111). Bien que ces méthodes indiquent une perte d'intelligibilité de la parole, les résultats peuvent être incertains lorsqu'on tente de les utiliser pour définir la confidentialité des entretiens que fournit l'enveloppe d'une pièce. Elles exigent également d'admettre diverses exceptions dans les procédures de mesure et le processus d'analyse standard, et elles ne se rapportent pas directement aux critères de protection de la sécurité.
Bien que les critères subjectifs puissent encore être pertinents dans une certaine mesure, puisqu'ils fournissent une indication « réelle » de la performance grâce à des auditeurs humains et de sources vocales réelles ou enregistrées, leurs résultats sont communiqués de façon statistique et en fonction des réponses des divers sujets aux essais. Par conséquent, pour une efficacité optimale, il faudrait idéalement que les participants aux essais soient de divers âges, sexes et langues, tant pour la source que pour la réception. Il faut formuler le contenu de la source, examiner les réponses aux essais et fournir les résultats en fonction de divers scénarios de source et de réception. Tout dépendant des exigences en matière de sécurité et du nombre de pièces requises pour les essais, ce processus pourrait devenir inefficace et complexe, en plus de ne pas produire de résultats définitifs facilement liés aux critères de sécurité. Si les résultats tendent à être incertains, les méthodes d'essais acoustiques quantitatifs devraient alors probablement confirmer les résultats réels. Bien que ces méthodes aient été couramment utilisées par le passé, il est possible qu'elles soient mieux adaptées aux démonstrations de performance devant les clients ou avec des échantillons d'ouvrage en vraie grandeur ou des exemples choisis conformes à l'exécution.
Les normes fondées sur l'absorption et l'affaiblissement acoustique, telles que ASTM E90 et E336, ont traditionnellement été utilisées pour évaluer la performance fournie par des conceptions et des matériaux de murs particuliers déterminés dans des conditions de laboratoire idéales (E90), ainsi que pour les procédures de mesure utilisées pour déterminer leur performance d'après exécution (E336). Le critère communément appelé « indice de transmission du son » (ITS) a parfois été utilisé de façon arbitraire ou inappropriée dans les devis de projet, et son incidence particulière sur la performance ont été présumées et mal comprises. L'idée erronée la plus courante est qu'en concevant un mur qui respecte un certain ITS, la pièce affichera un ITS équivalent une fois la construction achevée, et que, par conséquent, elle répondra également aux exigences en matière de confidentialité des entretiens pour l'ITS spécifié. Il est également possible que les spécifications d'aménagement ne tiennent pas compte des exigences en matière d'ITS de l'enveloppe entière de la pièce, comme les dalles de plancher ou de soffite, les plafonds, les portes, les fenêtres ou d'autres caractéristiques. Il ne faut pas oublier de prendre en considération l'aménagement des conduits de CVCA, le réseau de conduits de reprise, les conduits électriques, les réseaux de distribution des extincteurs ou d'autres conduits ou tuyaux traversant les murs de la pièce et pénétrant dans les cavités murales, ce qui a une incidence sur l'efficacité globale de l'isolation acoustique de la pièce.
Bien que l'indice d'affaiblissement acoustique soit également au fondement des critères relatifs au SPC, il tient aussi compte d'autres facteurs comme la proximité, les niveaux de bruit de fond et les facteurs de probabilité, et il se concentre particulièrement sur les caractéristiques de la parole et sa propagation. Les procédures et critères normalisés relatifs à l'ITS fournissent une bonne base pour préciser les exigences de conception et sont encore pertinents, particulièrement pour les vérifications de la performance lors des évaluations sur le terrain réalisées avant l'achèvement de la construction. Ces méthodes d'essai et ces critères de rapport varient en fonction de divers facteurs, mais ils indiquent en fin de compte ce qui peut être considéré comme une performance « moyenne » sur le terrain et peuvent indiquer si la conformité à la sécurité est probable ou non. Toutefois, ils ne quantifient pas la confidentialité des entretiens de façon non équivoque et peuvent facilement se révéler incapables de déceler les points de fuite acoustique, tout en étant pourtant conformes aux critères de conception relatifs à l'ITS.
Les procédures de mesure de la norme ASTM E2638 citées en référence proposent un processus perfectionné qui permet de définir avec précision et efficacité la confidentialité des entretiens offerte tout autour du périmètre accessible de la pièce et de déterminer l'emplacement des points précis où il peut y avoir des fuites acoustiques. Il est à noter que les procédures d'essai de la norme E2638 se limitent à l'évaluation des constructions achevées et prêtes pour l'occupation, ou à l'évaluation des pièces existantes. L'objectif du Guide des règles de l'art est de minimiser les risques de découvrir l'existence de problèmes tard dans le processus de mise en service en utilisant des méthodes appropriées de planification, de construction et de contrôle de la qualité tout au long de l'avancement des projets. Les exigences d'essai peuvent alors être limitées à un plus petit pourcentage d'emplacements ou à ceux nécessitant les niveaux les plus élevés de conformité en matière de confidentialité des entretiens.
Le tableau 1 présente les critères relatifs au SPC et le niveau de protection correspondant qui serait associé à ces critères; ce niveau de protection est fondé sur le niveau de sécurité le plus élevé des informations de nature délicate dont il est question dans ces critères. Les détails relatifs aux exigences du processus de construction sont présentés à la section 6.
Gestion des projets liés à la confidentialité des entretiens
Il dépasse la portée du présent guide d'inclure toutes les activités et tâches de gestion de projet lorsque ses implications doivent être appliquées dans tous les cas; on suppose que les équipes de gestion de projet sauront le mieux quand elles sont les plus pertinentes. Dès le début d'un projet, il importe de garder en tête que la confidentialité des entretiens exige de tenir compte de beaucoup plus d'éléments logistiques et de déployer davantage de ressources logistiques que les exigences d'aménagement « standards », et qu'elle ne devrait pas être considérée comme un ajout traité aux étapes ultérieures d'un projet. Il importe de s'assurer qu'une évaluation des menaces et des risques (EMR) a été réalisée et de voir à utiliser le processus d'évaluation et d'autorisation liées à la sécurité des installations pendant la gestion d'un projet de construction d'une ZDS. Les scénarios généraux suivants en matière de locaux sont ceux qui sont les plus fréquents pendant la construction d'une ZDS.
Espaces existants
L'utilisation d'emplacements existants « tels quels » qui peuvent être adaptés pour répondre à l'ensemble des exigences du client en matière de sécurité et de locaux, avec des emplacements existants à l'intérieur de l'installation qui ont été testés et certifiés comme satisfaisant aux exigences de sécurité relatives au SPC du client.
Rénovations partielles
Des rénovations partielles impliqueraient un nombre limité d'espaces à l'intérieur d'installations existantes de plus grandes dimensions, espaces qui doivent être rénovés pour répondre aux exigences en matière de confidentialité des entretiens. Il peut s'agir de reconstruire ou d'améliorer les cloisons ou les murs d'une pièce en particulier, d'ajouter des vestibules, de modifier les conduits d'air ou de remplacer des portes afin de satisfaire aux exigences relatives au SPC. Ces travaux peuvent présenter divers défis quant à leur mise en œuvre adéquate dans le cadre de la conception et de l'aménagement de l'immeuble de base existant.
Nouvelle construction ou rénovations complètes
Le présent guide traite principalement de la fourniture de nouvelles constructions ou de rénovations complètes à grande échelle exigeant l'aménagement de multiples pièces insonorisées à l'intérieur d'une aire de bureau ouverte ou entre des pièces et des espaces adjacents. Ces scénarios donnent l'occasion de mettre en œuvre et d'intégrer les exigences en matière de confidentialité des entretiens de la façon la plus efficace possible dans les plans d'aménagement des locaux du modèle du système national de gestion de projet (SNGP).
Prévisions des coûts et des échéanciers en matière de confidentialité des entretiens
L'exactitude des prévisions initiales liées aux exigences en matière de confidentialité des entretiens est essentielle, car les coûts et les échéanciers peuvent être beaucoup plus importants que ceux requis pour la fourniture de locaux à bureaux fermés « standards », et ces exigences doivent être prises en compte et justifiées dès le départ. Même si ces détails et ces prévisions devront être précisés davantage à des étapes ultérieures du projet, il serait prudent de ne pas sous-estimer leurs répercussions possibles.
À l'aide du concept d'aménagement ou d'un plan d'aménagement établi, les bureaux fermés protégés et les autres salles doivent être localisés et indiqués le mieux possible sur le plan. Il faut déterminer les niveaux de sécurité SPC correspondants et les attribuer à ces pièces, ce qui nécessite au minimum de connaître le nombre, le type et la taille approximative des pièces et le niveau de sécurité requis. Toutefois, un plan d'aménagement relativement précis permettrait également de conceptualiser l'acheminement préliminaire des systèmes mécaniques afin d'aider à estimer ces répercussions. Il pourrait être souhaitable de trouver des emplacements insonorisés et de leur attribuer les critères appropriés relatifs au SPC en collaboration avec les responsables de la sécurité qui procèdent à l'EMR ou à d'autres évaluations.
Afin d'essayer de prévoir avec exactitude les coûts et les échéanciers associés à la prise en compte de la confidentialité des entretiens, il faut tenir compte des détails de conception de l'immeuble de base, de l'acheminement des conduits de services, des spécifications d'amélioration « non standards » de l'aménagement intérieur, des quantités et de la disponibilité des caractéristiques ou des matériaux spéciaux (p. ex., portes à ITS élevés), des compétences et de l'ordonnancement de la main-d'œuvre et des essais de conformité en matière de sécurité. Il faudra élaborer des plans, des voies de communication et des calendriers bien coordonnés entre l'équipe de confidentialité des entretiens et les experts-conseils, les entrepreneurs et les sous-traitants de différents secteurs afin d'assurer une mise en œuvre efficace.
Sélection des critères de confidentialité des entretiens en fonction des valeurs SPC
La présente section décrit les critères qui visent à protéger les renseignements qui sont discutés dans des pièces fermées contre l'écoute clandestine normale par des oreilles indiscrètes se trouvant à l'extérieur de la pièce. Les « discussions » désignent les entretiens ayant lieu dans la pièce entre des personnes qui se parlent entre elles ou qui parlent au téléphone ou au moyen d'autres systèmes de communication (les mots en italiques dans la présente section sont expliqués dans les définitions de la section 7.1 ci-dessous).
Les critères sont exprimés en SPC et visent à fournir une protection acceptable pour le niveau de classification le plus élevé des informations pouvant être discutées dans une pièce particulière. Les critères visent à s'assurer que la construction de la pièce ainsi que le niveau de bruit ambiant à l'extérieur de celle-ci réduiront de façon appropriée le risque que les entretiens, transmis depuis la pièce, soient intelligibles ou audibles pour les auditeurs situés à l'extérieur de la pièce.
Les critères de confidentialité des entretiens énoncés dans la présente section constituent un élément clé de la fourniture de pièces fermées et insonorisées destinées aux discussions. Ces critères visent uniquement à s'assurer que les détails de construction et l'équipement mécanique de l'immeuble garantissent une confidentialité des entretiens adéquate à l'extérieur de certaines pièces fermées. Ils visent à atténuer le risque d'écoute clandestine normale des sons vocaux, transmis depuis une pièce, par des oreilles indiscrètes se trouvant à l'extérieur de la pièce. Ces critères doivent être appliqués aux nouvelles constructions et aux pièces fermées existantes dans lesquelles des sujets sensibles sont abordés.
Ces critères ne seront pas suffisants pour se protéger contre des formes plus déterminées d'écoute clandestine, comme l'écoute avec l'oreille posée contre le mur ou au moyen de dispositifs de surveillance électronique. Ces formes plus déterminées d'écoute ne sont pas visées par la présente section. Pour répondre à ces menaces, il est nécessaire de tenir compte d'autres facteurs (comme la restriction de l'accès aux espaces adjacents (voir aussi la section 6), en plus de respecter les valeurs SPC minimales requises indiquées à la section 7.1 et au tableau 1. La présente section ne tient pas compte des nombreux détails techniques qui doivent être pris en considération pour se protéger contre les formes plus déterminées d'écoute clandestine, ni de la protection physique des biens sensibles comme les documents.
Définitions des termes contenus dans la section
- Intelligibilité de la parole
- On dit que la parole est intelligible lorsque plus de 50 % d'un groupe d'auditeurs attentifs qui n'ont pas de déficience auditive peuvent répéter correctement au moins un mot de courtes phrases d'essai.
- Audibilité de la parole
- La parole est dite audible lorsque plus de 50 % d'un groupe d'auditeurs attentifs qui n'ont pas de déficience auditive peuvent seulement entendre certains sons vocaux, même s'ils ne comprennent pas les mots.
- Confidentialité des entretiens
- Conditions dans lesquelles il est difficile de comprendre le discours d'une pièce située à proximité. Les entretiens peuvent être parfois intelligibles, mais les sons vocaux seront souvent audibles.
- Grande confidentialité des entretiens
- Niveau élevé de confidentialité des entretiens, où les sons vocaux provenant d'une pièce située à proximité ne seraient pas plus que très rarement intelligibles et seulement parfois audibles.
- Très grande confidentialité des entretiens
- Niveau très élevé de confidentialité des entretiens, où les sons vocaux provenant d'une pièce située à proximité seraient essentiellement inintelligibles et seulement très rarement audibles.
- SPC
- Quantité combinant une mesure de l'atténuation des sons vocaux transmis à partir d'une pièce fermée et le niveau de bruit ambiant à des points situés à l'extérieur de la pièce. Les valeurs SPC sont directement liées à l'audibilité et à l'intelligibilité de la parole transmise à partir d'une pièce fermée située à proximité et sont définies techniquement dans la norme de mesure ASTM E2638 et sa référence.
- Pièce fermée
- Pièce où les murs, y compris les portes et les fenêtres, ainsi que le plancher et le plafond, forment un espace complètement fermé qui assure une isolation acoustique entre la pièce et tous les espaces adjacents.
- Écoute clandestine normale
- Il s'agit de l'acte par lequel un auditeur aux oreilles indiscrètes (dotées d'une bonne ouïe) se trouvant à l'extérieur d'une pièce fermée s'adonne à de l'écoute clandestine attentive à des emplacements situés près de l'extérieur de la pièce, mais sans y toucher, et qui n'utilise aucun appareil électronique pour l'aider à entendre les sons vocaux transmis à partir de la pièce fermée.
- Bruit ambiant
- Bruits généraux dans l'environnement intérieur, comme le bruit de la ventilation, de l'équipement de bureau ou les conversations plus distantes qui peuvent masquer ou rendre plus difficile l'écoute ou la compréhension de sons vocaux particuliers.
- Souvent audible
- Environ une fois toutes les deux minutes.
- Occasionnellement intelligible ou audible
- Intelligible ou audible environ quatre fois au cours d'une période d'une heure.
- Très rarement intelligible ou audible
- Intelligible ou audible environ quatre fois au cours d'une période de huit heures.
- Essentiellement inintelligible
- Intelligible environ une fois par période de 2 jours ouvrables (c'est-à-dire 16 heures).
Critères en matière de confidentialité des entretiens
Critères relatifs au SPC minimal
Toutes les pièces destinées aux discussions de nature délicate doivent détenir un SPC minimal déterminé par le niveau de sécurité le plus élevé des informations qui y sont discutées. Les SPC minimaux acceptables recommandés sont indiqués au tableau 1. Une pièce conçue pour répondre à un SPC particulier et qui a été mise à l'essai pour confirmer l'atteinte du niveau visé est acceptable pour les discussions de tous les niveaux de classification, jusqu'à celui le plus élevé indiqué dans le tableau 1 pour la valeur SPC particulière.
Les termes employés dans le tableau 1 concernant la fréquence à laquelle un ou deux mots provenant d'une pièce adjacente peuvent être audibles ou intelligibles sont décrits :
- Souvent audible
- Environ une fois toutes les deux minutes.
- Occasionnellement intelligible ou audible
- Intelligible ou audible environ quatre fois au cours d'une période d'une heure.
- Très rarement intelligible ou audible
- Intelligible ou audible environ quatre fois au cours d'une période de huit heures.
- Essentiellement inintelligible
- Intelligible environ une fois par période de 2 jours ouvrables (c'est-à-dire 16 heures).
Catégorie | Niveau de classification le plus élevé | SPC minimal acceptable | Les entretiens qui ont lieu dans cette pièce sont... |
---|---|---|---|
Confidentialité des entretiens standard | Protégé B | 75 | parfois intelligibles et souvent audibles |
Grande confidentialité des entretiens standard | Protégé C, Secret | 80 | très rarement intelligibles et parfois audibles |
Très grande confidentialité des entretiens | Très secret | 85 | essentiellement inintelligibles et très rarement audibles |
Autres catégories d'informations
Les termes utilisés pour décrire le niveau de classification le plus élevé des informations discutées, présentés au tableau 1 (Protégé B, Protégé C, Secret et Très secret) sont des catégories d'informations sensibles utilisées par le gouvernement du Canada. Souvent, des termes différents peuvent être utilisés, ou les mêmes termes peuvent être utilisés différemment dans d'autres pays. Par exemple, le terme « confidentiel » peut avoir des implications plus importantes dans certains pays à l'extérieur du Canada. D'autres types d'informations peuvent aussi nécessiter la même protection que l'une des trois catégories du tableau 1. À titre d'exemple, les conversations entre avocats et clients peuvent exiger des pièces détenant un SPC de 80, mais aussi, dans certains cas particuliers, un SPC de 85. Dans le même ordre d'idées, les discussions entre juges dans les palais de justice peuvent généralement exiger des pièces détenant un SPC de 80, et les conversations entre médecins et patients, des pièces dont le SPC est de 75 ou 80. Toutefois, il n'est pas possible dans cette section d'établir des équivalences entre toutes les autres catégories de renseignements et celles du tableau 1. L'utilisateur doit faire correspondre les exigences de ces autres types de renseignements à celles fournies par l'une des catégories du tableau 1.
Exigences exceptionnelles en matière de confidentialité des entretiens
Dans certains cas exceptionnels, les informations discutées peuvent se voir assigner une cote de sécurité plus élevée que celle de « Très secret ». De telles situations pourraient entraîner le besoin d'un niveau encore plus élevé de confidentialité des entretiens correspondant à un SPC de 90; dans ces conditions, le discours serait inintelligible et pratiquement toujours inaudible pour des oreilles indiscrètes se trouvant à l'extérieur de la pièce. Cela peut nécessiter une évaluation de la menace et des risques (EMR) pour justifier la nécessité d'une sécurité plus élevée et d'une aide très spécialisée pour s'assurer que la conception répond à ces exigences exceptionnelles. Un SPC de 90 serait coûteux et difficile à réaliser dans la plupart des situations.
Essais de conformité aux critères
Toutes les pièces nouvelles ou nouvellement rénovées destinées aux discussions de nature délicate doivent être mises à l'essai par un expert-conseil indépendant en acoustique afin d'en vérifier la conformité à la valeur SPC requise, conformément aux procédures décrites dans la norme ASTM E2638 [1,2]. Les mesures devraient inclure des emplacements où pourraient potentiellement s'installer un auditeur aux oreilles indiscrètes et des emplacements présentant des points faibles dans l'isolation acoustique de la pièce, comme près des portes. Les essais doivent être répétés après toute rénovation qui pourrait avoir une incidence sur l'intégrité des limites de la pièce, ainsi qu'après les changements visant à corriger les lacunes relevées précédemment. De plus, les essais doivent être répétés périodiquement pour confirmer le respect de la conformité aux critères exigés malgré l'usure des joints d'étanchéité de porte et toute autre dégradation possible due à l'usure au fil du temps. Il serait particulièrement important de procéder à un nouvel essai dans les pièces afin de garantir une protection de niveau Haute confidentialité des entretiens. Les pièces qui n'ont pas été mises à l'essai pour démontrer leur conformité à un critère SPC particulier ne doivent pas être utilisées pour discuter de renseignements de nature délicate.
Prise en compte des espaces adjacents
Le contrôle des espaces adjacents est toujours souhaitable, et un système de zones hiérarchiques permet de s'assurer que les espaces adjacents sont restreints au personnel autorisé. Les pièces conçues pour garantir une protection de niveau Grande confidentialité des entretiens et Très grande confidentialité des entretiens ne doivent pas être adjacentes à un espace non contrôlé.
Le contrôle de l'accès aux espaces adjacents n'est pas nécessaire pour empêcher l'écoute clandestine normale des entretiens tenus dans la pièce, mais il est utile pour atténuer les types plus déterminés d'écoute clandestine qui consistent à poser l'oreille contre le mur de la pièce ou à utiliser des appareils électroniques. La protection contre de telles formes plus déterminées d'écoute clandestine dépasse la portée de la présente section, mais exigerait habituellement le contrôle des espaces adjacents.
Dans certaines situations, un espace adjacent inoccupé peut servir de zone tampon pour améliorer la confidentialité des entretiens dans la pièce. Par exemple, une construction de type « pièce à l'intérieur d'une pièce » peut être utilisée pour atteindre des niveaux très élevés de confidentialité des entretiens. Dans ces situations, les valeurs SPC peuvent être mesurées entre la pièce et les espaces à l'extérieur de la zone tampon immédiatement adjacente. Dans les autres cas où l'espace adjacent est occupé, ou que des personnes le traversent, il ne faut normalement pas considérer cet espace comme une zone tampon quand on mesure la valeur SPC de la pièce. Lorsqu'il peut y avoir des personnes dans l'espace, il ne peut être inclus comme zone tampon sécurisée que si toutes les personnes dans l'espace adjacent ont un besoin légitime de connaître ce dont il sera question dans la pièce.
Conception pour atteindre ces critères
De nombreux détails influenceront la confidentialité acoustique d'une salle de réunion [4]. Pour s'assurer que les constructions « conformes à l'exécution » atteignent les objectifs de performance souhaités, il est préférable d'intégrer à la conception une valeur SPC jusqu'à cinq points supérieurs à l'objectif de conception de critère pour chaque catégorie, car bien souvent, la construction réelle n'est pas aussi performante que prévu. Il est également important de surveiller attentivement le processus de construction afin de fournir une assurance de la qualité appropriée. Un mur adéquat n'est qu'une partie du problème. Les portes d'une pièce fermée limitent habituellement l'isolation acoustique, et un vestibule soigneusement conçu est souvent nécessaire. Il existe également de nombreuses autres voies de propagation du son qui permettent de transmettre le son de la salle de réunion à des espaces adjacents autrement que directement à travers le mur commun. Il s'agit notamment des dalles de béton mince, des conduits de raccord, des tuyaux et des conduits pénétrant dans les limites de la pièce. Sans tenir dûment compte de toutes ces voies de transmission latérales, il ne sera pas possible de satisfaire aux exigences relatives aux niveaux de sécurité plus élevés.
Il est recommandé et généralement rentable d'avoir recours à un expert-conseil en acoustique possédant une expertise en conception de pièces garantissant une confidentialité acoustique acceptable lorsqu'il s'agit de construire des pièces fermées destinées à des discussions de nature délicate. Cela est essentiel pour les cas exceptionnels de niveau supérieur à la catégorie Très grande confidentialité des entretiens, où chaque pièce doit être spécialement conçue pour répondre à toutes les exigences locales, ainsi qu'à la valeur SPC minimale spécifiée.
Détails de conception pour la confidentialité des entretiens exprimée en SPC
La présente section comprend des renseignements pratiques en matière de conception pour aider les utilisateurs à atteindre un niveau de très grande confidentialité des entretiens. Elle comprend notamment des concepts de plan d'étage qui facilitent la création de pièces insonorisées, des descriptions des causes les plus fréquentes de défaillances, des détails de conception éprouvés aidant à atteindre un niveau élevé de confidentialité des entretiens et des tables exhaustives des valeurs TL(moy) des murs.
La section 7.2.1 a décrit la valeur SPC, qui comprend des mesures du bruit ambiant et des sons vocaux transmis à travers les murs. Il est essentiel que les deux facteurs soient adéquats pour garantir la confidentialité des entretiens dans une pièce déterminée. La quantité de sons vocaux transmis est déterminée par l'indice d'affaiblissement acoustique moyen apparent du mur (TL[moy]), et les valeurs TL(moy) sont incluses dans la présente section pour 94 types de murs différents. À l'étape de la conception, les niveaux de bruit ambiant peuvent être estimés comme décrit à la section 7.2.1 du document principal.
Bien entendu, l'atteinte d'une confidentialité des entretiens adéquate ne saurait se résumer au choix du bon type de mur. La présente section vise à fournir une vaste gamme de renseignements pratiques pour aider l'utilisateur à obtenir les résultats escomptés avec le niveau souhaité de confidentialité des entretiens.
Conception des différents types de pièces à SPC élevé
La conception de pièces, de bureaux ou même de bâtiments complets à SPC élevé sera plus fructueuse si on a recours à une approche de conception de systèmes. Le système comprend tous les éléments qui composent la zone à contrôler en matière de SPC. Cela comprend tous les systèmes du bâtiment, comme le système de CVCA, la plomberie, la protection contre les incendies, les services électriques, les communications et la connectivité, les systèmes de sécurité et de signalisation, l'enveloppe et la structure du bâtiment et, bien entendu, la conception architecturale. Un plan de l'aire doit d'abord être élaboré compte tenu de l'espace disponible, de l'espace requis et de l'adjacence entre les diverses aires du bâtiment. Pour obtenir un indice de confidentialité des entretiens élevé (c'est-à-dire une valeur SPC élevée), il faut tenir compte de tous les éléments en cause, y compris non seulement l'espace construit, mais aussi l'accès aux espaces entourant l'espace protégé. Ce n'est que lorsque tous les éléments du système sont dûment pris en considération qu'un SPC élevé peut être obtenu. Étant donné que n'importe quel élément du système peut provoquer une défaillance en matière de confidentialité des entretiens, il est primordial de toujours considérer l'ensemble de la zone protégée comme un système et d'examiner les interactions entre chaque élément et leur incidence sur la performance globale. Il n'est d'aucune utilité que 90 % des éléments fonctionnent parfaitement, mais qu'une défaillance liée au SPC se produise en raison d'une performance insuffisante sur le plan de l'isolation acoustique de seulement 10 % des éléments.
Une fois que les aires adjacentes et la planification de l'espace ont été prises en compte, la conception architecturale détaillée peut commencer. La partie la plus facile de toute conception d'un espace très bien insonorisé est la sélection d'une section de mur ou de plancher à partir d'un catalogue ou d'une liste de ces ensembles. Toutefois, cela ne garantit habituellement pas une performance élevée, car tous les autres éléments peuvent réduire la performance finale. Toutes les parties concernées doivent participer aux phases de conception et de construction, étant entendu qu'aucun élément du système ne peut être laissé de côté. Cela signifie que le client qui occupera ou utilisera l'espace, les concepteurs, les gestionnaires de projet, les constructeurs et les propriétaires doivent travailler ensemble pour allouer suffisamment de ressources pour assurer le succès du projet. Par exemple, la conception du système de CVCA ne peut pas être effectuée indépendamment de la conception architecturale, car les conduits doivent être installés de manière à ce que les trous et les cavités à l'intérieur des conduits ne compromettent pas l'isolation acoustique et de manière à ce qu'il y ait de l'espace dans le plan architectural pour installer les conduits selon l'acheminement requis pour atténuer le son. Un échec est garanti si l'on demande à l'architecte d'élaborer un plan d'étage, puis qu'on demande à l'ingénieur mécanicien de faire passer tous les conduits directement d'une pièce à l'autre parce qu'il n'y a pas suffisamment d'espaces pour faire passer les conduits. Peu importe la qualité de la conception ou de la construction des murs, le son entrera dans les conduits et se déplacera d'une pièce à l'autre, contournant ainsi le mur. Voilà un exemple de défaillance du système, où la faiblesse d'un seul élément quant à la transmission du son entraîne un mauvais résultat en matière de SPC.
Concept de périmètre de confidentialité des entretiens
Lorsqu'on envisage de garantir la confidentialité des entretiens dans une zone ou une pièce, il est utile de penser à établir un périmètre de sécurité autour de cette zone ou pièce. Les pièces protégées faisant partie d'une enfilade de pièces sont considérées comme la surface de plancher protégée d'où proviennent les entretiens à protéger, tandis que le périmètre est une ligne à l'extérieur de la zone protégée qui entoure entièrement la zone protégée. Ce concept est utile, car il définit la zone où les sources sonores doivent être placées pour effectuer un essai du SPC et il définit également le périmètre à l'extérieur de la zone où les points de mesure doivent être situés pour vérifier la performance. Ce concept présente également l'avantage d'indiquer où l'accès doit être contrôlé afin de réduire le risque d'écoute clandestine. Même si la zone protégée en question peut être une pièce unique dont le périmètre est la ligne qui entoure la pièce, elle peut aussi être beaucoup plus complexe, et c'est à cette occasion que le concept est le plus utile.
L'exemple le plus simple est une salle de réunion ou un bureau à protéger qui est adjacent à un bureau de communication ou un vestibule. La zone protégée est simplement la salle de réunion ou le bureau et ne comprend pas le bureau ou le vestibule adjacent, car ces zones ont un accès contrôlé. Le périmètre de confidentialité des entretiens est la ligne qui entoure la zone totale formée par la zone protégée et le bureau ou vestibule adjacent. Un exemple plus complexe est une salle de réunion avec un local technique connexe et une salle de traduction. Les sons à protéger peuvent être entendus dans l'une ou l'autre de ces pièces, car des haut- parleurs peuvent être utilisés pour surveiller les conversations ayant lieu dans la salle de réunion, ou les interprètes peuvent répéter dans une langue différente le même contenu protégé à partir d'une pièce adjacente vers la salle de réunion. Dans ce cas, la zone à protéger comprend non seulement la salle de réunion, mais aussi deux autres pièces. Cette enfilade de pièces peut également comprendre d'autres pièces dont l'accès est protégé ou dont l'accès n'est possible qu'à partir de l'une des pièces, ou d'un sas ou vestibule insonorisant. Aucune conversation n'a lieu dans ces zones annexes, et comme l'accès à celles-ci est contrôlé et qu'aucun auditeur ne s'est vu refuser l'accès, le SPC n'a pas besoin d'y être contrôlé. On ajoute ensuite un périmètre de confidentialité des entretiens autour de l'enfilade de pièces comprenant la pièce originale à protéger ainsi que les pièces annexes pour déterminer une ligne dans le plan ou la vue en coupe où de l'écoute clandestine pourrait avoir lieu. Cela permet d'utiliser des pièces annexes pour former des zones intermédiaires comme les zones tampons, dans lesquelles le son doit traverser deux ensembles de murs, de portes ou de conduits avant d'atteindre le périmètre protégé. Cela aide à réduire les exigences de performance d'un élément unique, en particulier les portes, les vitrages et les conduits, afin d'atteindre le niveau requis de SPC.
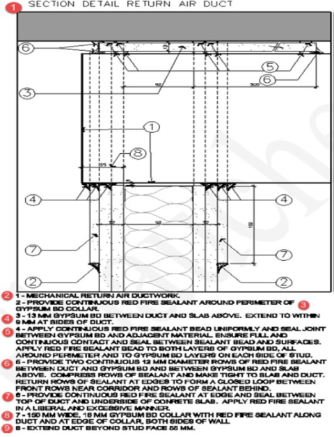
La figure 1 illustre une grande salle de conférence ou de réunion avec plusieurs locaux auxiliaires habituellement associés à ces salles. Certaines pièces font partie de l'enfilade, et ces pièces sont accessibles à partir de l'enfilade elle-même. Il n'y a que deux points d'entrée : le premier consiste en un vestibule fermé par deux séries de portes (Local 106), et l'autre consiste en un corridor fermé par une seule porte (Local 104). Toutes les pièces qui font partie de l'ensemble se sont vu attribuer un numéro débutant par 10X, de la salle de réunion elle-même (Local 100) jusqu'à la petite salle d'entreposage (Local 107). Les espaces de service entourant l'enfilade de pièces sur la droite ont reçu des numéros commençant par 15X, et il peut s'agir de locaux techniques et électriques. D'autres pièces qui ne sont pas associées à l'enfilade de pièces en question se sont vu attribuer des numéros débutant par 16X, notamment le corridor d'accès principal (Local 160), ainsi que des pièces faisant partie d'un autre groupe de pièces (Locaux 163 et 164) ainsi qu'une pièce qui ne fait pas partie de l'ensemble, qui est destinée aux communications (Local 161). Le mur épais en haut du plan est un mur extérieur.

La première tâche à accomplir est de déterminer quelles sont les pièces devant être protégées contre l'écoute clandestine. Dans cet exemple particulier, à l'exception de la grande salle de réunion (Local 100), la seule autre pièce où la confidentialité des entretiens doit être protégée est la cabine d'interprétation (Local 102). C'est dans cette pièce que les interprètes répètent de leurs propres voix, mais dans une langue différente, ce qui a été dit dans la salle de réunion. Les paroles provenant de la cabine d'interprétation doivent donc être protégées. On suppose que toute personne dans l'enfilade de pièces attendra d'être dans l'une ou l'autre de ces deux pièces et que toutes les portes seront fermées avant de discuter du matériel protégé.
La figure 1 montre également les zones à protéger comme une surface hachurée. Dans certains cas, la salle de commande 103 fait partie de la zone à protéger, car le personnel de la salle de commande peut amplifier, grâce à des haut-parleurs, le son capté par les microphones de conférence dans la salle de réunion à des fins de contrôle de la qualité. Toutefois, en l'espèce, on a déterminé qu'il n'y aurait pas une telle reproduction sonore dans la salle de commande et qu'il n'était pas nécessaire de protéger cette zone.
Une fois qu'on a déterminé les zones à protéger, des diagrammes indiquant ces zones, comme celui illustré la figure 1, devraient être présentés aux personnes responsables de déterminer les exigences relatives au SPC afin de confirmer que les zones indiquées sont effectivement les seules zones à protéger.
Si les zones à protéger ont été entièrement déterminées, on peut passer à la tâche suivante, qui consiste à déterminer le périmètre de confidentialité des entretiens. Ce périmètre est simplement une ligne qui entoure la zone protégée, et il peut également contenir plusieurs pièces qui ne font pas partie de la zone protégée. L'avantage est qu'il permet aux pièces avoisinantes de former des zones tampons à travers lesquelles le son doit passer. Cela peut améliorer la confidentialité des entretiens de la même façon que l'utilisation de vestibules, qui peuvent créer des sas insonorisants pour contrer les difficultés liées à l'utilisation de portes simples pour contenir adéquatement le son. Ces pièces tampons offrent également de l'espace pour permettre aux conduits, aux éléments terminaux de CVCA et aux éléments de connectivité de l'immeuble d'entrer dans l'enfilade de pièces sans devoir passer directement à travers les murs entourant les zones à protéger à partir d'une zone potentielle d'écoute clandestine.
La figure 1 comprend également une ligne turquoise pointillée pour indiquer le périmètre de confidentialité des entretiens, qui entoure efficacement la zone protégée, mais pas directement le long des murs de la zone protégée elle-même. Le périmètre de confidentialité des entretiens inclut en fait toutes les pièces dont le numéro commence par 10X. En effet, le plan d'étage a été organisé de manière à obliger l'entrée dans l'enfilade de pièces par l'un des deux points d'entrée afin d'avoir accès aux pièces à l'intérieur du périmètre qui ne font pas partie de la zone protégée. Cela est uniquement possible parce qu'on a soigneusement étudié l'établissement d'un périmètre de confidentialité des entretiens dans le cadre de la conception du plan d'étage, en organisant les zones adjacentes, les corridors et les points d'entrée de chaque pièce. L'exemple montre le plan final obtenu à partir d'une série de plans initiaux. Ces plans ont été révisés pendant le processus de conception afin de satisfaire à toutes les exigences pour l'ensemble de pièces, tout en fournissant un périmètre de confidentialité des entretiens.
Le périmètre forme une ligne à partir de laquelle une personne pourrait tenter d'écouter clandestinement les paroles prononcées dans la zone protégée. Il s'agit également d'une ligne sur laquelle on peut s'entendre pour tester la valeur SPC et à l'extérieur de laquelle on ne s'attend pas à contrôler l'accès. Toute zone contenue dans le périmètre de confidentialité des entretiens fait partie d'une zone d'accès contrôlé et n'exige pas en soi les niveaux les plus élevés de SPC. Toutefois, il faut toujours tenir compte du fait que les murs du périmètre de sécurité des entretiens exigent un niveau élevé d'affaiblissement acoustique moyen (TL[moy]) plutôt qu'un ITS précis afin que les pièces tampons et les vestibules fonctionnent efficacement pour bloquer le son et assurer la confidentialité des entretiens requise pour la zone protégée. Il peut être nécessaire de tester la performance des murs intermédiaires à l'intérieur du périmètre de confidentialité des entretiens pour garantir la performance le long du périmètre. Dans certains cas, ce périmètre ne permet l'utilisation que d'une seule porte insonorisée, la deuxième n'étant qu'une porte pleine ordinaire, par exemple, dotée de joints d'étanchéité sur tout le pourtour.
Dans l'exemple, la ligne du périmètre ne se trouve généralement pas le long d'un mur fermant directement la zone protégée, mais plutôt le long des murs des pièces servant de tampon insonorisant. Ce type de conception sera le plus efficace pour ce qui est de fournir des niveaux élevés de SPC et devrait toujours être envisagé pour les pièces qui exigent une sécurité élevée, en particulier les pièces comportant plusieurs portes le long de leur périmètre et les pièces où la parole est amplifiée par des haut-parleurs.
Les pénétrations doivent être réduites au minimum dans les situations où le périmètre de confidentialité des entretiens doit longer un mur se trouvant directement sur le périmètre de la zone protégée en raison de contraintes de planification ou d'espace, comme c'est le cas entre les locaux 100 et 150, 151 et 152, dans l'exemple de la figure 1. Les conduits ne doivent pas traverser ces murs, et il faut également réduire au minimum toutes les autres pénétrations destinées au câblage électrique et de communication. Ces installations techniques devraient plutôt passer par les pièces tampons, comme le local 105, par exemple.
ZDS, LIISC et SPC
Le présent document ne traite pas de toutes les questions habituellement abordées dans les documents décrivant les exigences relatives aux zones de discussion sécurisées (ZDS) et aux locaux isolés pour l'information sensible cloisonnée (LIISC), car ces documents traitent non seulement de l'isolation acoustique et, par conséquent, de la confidentialité des entretiens, mais aussi de la sécurité physique et d'autres questions de sécurité, comme les niveaux réels de sécurité requis selon les fonctions des pièces en cause.
On espère toutefois que les parties consacrées à l'acoustique de ces documents existants et généralement anciens seront remplacées par des éléments du présent document qui sont fondés sur des valeurs SPC, puisque les recommandations acoustiques contenues dans les documents plus anciens sont désuètes et, souvent, n'ont pas démontré qu'elles fonctionnent adéquatement sur le plan de l'isolation acoustique. Elles n'ont certainement pas été rédigées en ayant à l'esprit les valeurs SPC, car la norme n'existait pas au moment de la préparation de ces documents. Il est très difficile de trouver les sources pour les plans recommandés, la science qui sous-tend les recommandations ou les résultats d'essais qui appuient les recommandations relatives à l'acoustique dans les documents décrivant les exigences relatives aux ZDS et aux LIISC. De plus, de nombreux organismes ne font que copier et adapter les anciens documents lors de la création de leurs propres documents. À titre d'exemple, citons un document qui ne permet, pour assurer une isolation acoustique adéquate, que la construction d'un mur en poteaux de bois décalés sur une plaque de plancher ordinaire. De toute évidence, cet exemple n'est pas représentatif des techniques de construction moderne des bâtiments et ne tient pas compte des dizaines d'autres types de murs qui assureront une isolation encore meilleure. Les documents ne traitent pas du bruit de fond, ce qui est pourtant absolument essentiel au niveau de confidentialité des entretiens obtenue. À la lumière de l'expérience acquise dans la conception de constructions à SPC élevé, il est à espérer que les documents relatifs aux ZDS et aux LIISC seront réécrits et renverront au présent guide, qui est fondé sur la recherche scientifique portant sur la perception et le rendement, ainsi que sur des essais dans des bâtiments réels, ou du moins qui intègrent des éléments de ce guide.
Sélecteur mural
À l'étape de la conception, les critères en matière de confidentialité des entretiens sont précisés en fonction des valeurs SPC définies dans la norme ASTM E2638 et à la section 7.
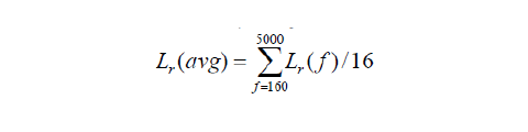
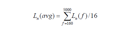
Formule : SPC TL(moy) +Ln(moy) - Où TL(moy) représente l'« affaiblissement acoustique apparent moyen » des limites de la pièce et Ln(moy) représente le « niveau moyen de bruit de fond » à l'emplacement d'une écoute clandestine potentielle. Dans les deux cas, « (moy) » indique une moyenne arithmétique des valeurs individuelles en décibels sur les fréquences vocales de 160 à 5 000 Hz. Les valeurs SPC sont fondées sur le fait que les niveaux de bruit ambiant et les niveaux vocaux transmis influent sur la confidentialité des entretiens.
La présente section fournit des tableaux détaillés des valeurs TL(moy) tirées des mesures en laboratoire de la transmission acoustique dans diverses constructions. Il s'agit des mêmes résultats d'essai à partir desquels les valeurs ITS sont déterminées, mais on a constaté que les valeurs TL(moy) sont des prédicteurs beaucoup plus précis de la confidentialité des entretiens fournie par le mur.
Au tableau 2, on retrouve les valeurs TL(moy) pour 74 types de murs à poteaux d'après des résultats d'essais en laboratoire standards. Ce tableau comprend une section décrivant chaque type de construction et les résultats des combinaisons de 13 configurations de poteaux et de 6 arrangements différents de couches de plaques de plâtre. Les 6 combinaisons de couches de plaques de plâtre qui ont été incluses sont décrites au tableau 3. Les 13 différentes configurations de poteaux sont décrites au tableau 4. Le tableau comprend également les ITS de chaque construction. Toutefois, les valeurs ITS sont à peu près équivalentes aux valeurs TL(moy) et ne sont destinées qu'à ceux qui connaissent mieux les valeurs ITS que les valeurs TL(moy).
Valeurs TL(moy)/ITC | Plaque de plâtre de 13 mm | Plaque de plâtre de 16 mm | ||||
---|---|---|---|---|---|---|
Construction | 1 et 1 | 1 et 2 | 2 et 2 | 1 et 1 | 1 et 2 | 2 et 2 |
![]() SS65(406) |
51,0 / 35 | 53,5 / 40 | 56,7 / 46 | 51,3 / 40 | 54,9 / 45 | 58,2 / 52 |
![]() SS65(610) |
49,5 / 43 | 53,1 / 48 | 55,9 / 54 | 50,9 / 43 | 54,3 / 50 | 56,6 / 55 |
![]() SS65(406) |
52,0 / 42 | 54,4 / 48 | 57,4 / 53 | 51,5 / 45 | 55,3 / 50 | 58,3 / 54 |
![]() SS90(610) |
52,3 / 48 | 55,1 / 53 | 55,9 / 55 | 51,9 / 49 | 54,6 / 53 | 57,6 / 56 |
![]() SS90(406)_RC |
55,1 / 48 | 58,8 / 54 | 62,7 / 60 | 53,5 / 60 | ||
![]() WS90(406)_RC |
53,8 / 43 | 57,1 / 48 | 61,0 / 55 | 52,0 / 45 | 57,3 / 51 | 60,7 / 56 |
![]() WS90(610)_RC |
53,2 / 47 | 57,3 / 54 | 60,5 / 59 | 54,4 / 49 | 57,3 / 54 | 61,3 / 59 |
![]() SWS90(406) |
54,1 / 45 | 53,8 / 50 | 56,2 / 53 | 50,8 / 49 | 54,6 / 53 | 57,2 / 57 |
![]() SWS90(406)_RC13 |
63,7 / 50 | 65,7 / 54 | 66,7 / 60 | 60,7 / 53 | 65,1 / 58 | 65,9 / 63 |
![]() SWS90(610)_RC13 |
57,8 / 49 | 63,6 / 54 | 53,4 / 52 | 61,7 / 56 | 68,6 / 62 | |
![]() SS40(610)_AIR25_SS40(610) |
61,6 / 53 | 63,8 / 59 | 66,1 / 63 | 65,8 / 55 | 69,6 / 65 | |
![]() SS65(610)_AIR25_S65(610) |
59,3 / 54 | 62,4 / 60 | 64,5 / 62 | 58,5 / 55 | 62,2 / 61 | 64,9 / 65 |
![]() SS65(610)_AIR25_S65(610) |
59,3 / 54 | 62,4 / 60 | 64,5 / 62 | 58,5 / 55 | 62,2 / 61 | 64,9 / 65 |
![]() WS90(610)_AIR25_WS90(610) |
66,6 / 55 | 70,2 / 59 | 72,6 / 65 | 67,9 / 59 | 68,8 / 64 | 72,2 / 68 |
Épaisseur de la plaque de plâtre | Nombres de couches | Description |
---|---|---|
13 | 1 et 1 | 1 couche de plaque de plâtre de 13 mm de chaque côté du mur |
13 | 1 et 2 | 1 couche de plaque de plâtre de 13 mm d'un côté du mur et 2 couches de plaques de plâtre de 13 mm de l'autre côté du mur |
13 | 2 et 2 | 2 couches de plaque de plâtre de 13 mm de chaque côté du mur |
16 | 1 et 1 | 1 couche de plaque de plâtre de 16 mm de chaque côté du mur |
16 | 1 et 2 | 1 couche de plaque de plâtre de 16 mm d'un côté du mur et 2 couches de plaques de plâtre de 16 mm de l'autre côté du mur |
16 | 2 et 2 | 2 couches de plaque de plâtre de 16 mm de chaque côté du mur |
Configuration des poteaux | Description |
---|---|
SS65(406) | Poteaux simples en acier de calibre 25 de 65 mm espacés de 406 mm |
SS65(610) | Poteaux simples en acier de calibre 25 de 65 mm espacés de 610 mm |
SS90(406) | Poteaux simples en acier de calibre 25 de 90 mm espacés de 406 mm |
SS90(610) | Poteaux simples en acier de calibre 25 de 90 mm espacés de 610 mm |
SS90(406)_RC | Poteaux simples en acier de calibre 16 de 90 mm espacés de 406 mm avec un profilé souple sur un côté |
WS90(406)_RC | Poteaux simples en bois de 90 mm espacés de 406 mm avec un profilé souple sur un côté |
WS90(610)_RC | Poteaux simples en bois de 90 mm espacés de 610 mm avec un profilé souple sur un côté |
SWS90(406) | Poteaux en bois décalés de 90 mm espacés de 406 mm |
SWS90(406)_RC | Poteaux en bois décalés de 90 mm espacés de 406 mm avec un profilé souple sur un côté |
SWS90(610) | Poteaux en bois décalés de 90 mm espacés de 610 mm avec un profilé souple sur un côté |
D_SS40(610) | Poteaux jumelés en acier de calibre 25 de 40 mm espacés de 610 mm, avec un écart de 25 mm entre les poteaux jumelés |
D_SS65(610) | Poteaux jumelés en acier de calibre 25 de 65 mm espacés de 610 mm, avec un écart de 25 mm entre les poteaux jumelés |
D_WS90(610) | Poteaux jumelés en acier de calibre 25 de 90 mm espacés de 610 mm, avec un écart de 25 mm entre les poteaux jumelés |
En plus des données sur les murs à poteaux, le tableau 5 présente les valeurs TL(moy) pour 20 types de murs en blocs de béton avec diverses combinaisons de couches de surface en plaques de plâtre. Les données proviennent d'une étude approfondie de l'isolation acoustique fournie par les murs en blocs de béton [11, 12]. Les deux types de blocs de béton inclus sont décrits au tableau 6. Les murs en blocs de béton comprennent une plaque de plâtre de 16 mm fixée à une ou aux deux surfaces à l'aide de l'un des 5 systèmes décrits au tableau 7.
Valeurs TL(moy)/ITC | Une seule plaque de plâtre de 16 mm fixée à l'un de ces : | ||||
---|---|---|---|---|---|
Construction | WS40 | RC13 | ZC50 | SS65 | ZC75 |
![]() BLK140 - Plaque de plâtre de 16 mm d'un côté du bloc |
55,0 / 54 | 55,7 / 53 | 57,9 / 58 | 60,6 / 60 | 60,6 / 61 |
![]() BLK140 - Plaque de plâtre de 16 mm sur les deux côtés du bloc |
60,2 / 60 | 61,6 / 54 | 65,9 / 66 | 71,5 / 72 | 71,5 / 72 |
![]() BLK190 - Plaque de plâtre de 16 mm d'un côté du bloc |
60,2 / 60 | 61,6 / 54 | 65,9 / 66 | 71,5 / 72 | 71,5 / 72 |
![]() BLK190 - Plaque de plâtre de 16 mm sur les deux côtés du bloc |
60,9 / 60 | 62,2 / 50 | 66,1 / 65 | 72,1 / 71 | 72,1 / 72 |
Symbole | Hauteur (mm) | Longueur (mm) | Profondeur (mm) | Kg par m2 |
---|---|---|---|---|
BLK140 | 190 | 390 | 140 | 240,1 |
BLK190 | 190 | 390 | 140 | 236,2 |
Symboles | Profondeur de cavité, (mm) | Description |
---|---|---|
WS40 | 40 | Poteaux de bois (lattage) |
RC13 | 13 | Profilés souples classiques (en acier de calibre 25) |
ZC50 | 50 | Barre en Z, profilés de fourrure métalliques (en acier de calibre 25) |
SS65 | 65 | Poteaux en acier (acier de calibre 25)|
ZC75 | 75 | Barre en Z, profilés de fourrure métalliques (en acier de calibre 25) |
Selon la pratique courante, les constructions sont choisies en fonction de résultats obtenus en laboratoire atteignant jusqu'à 5 points de plus que l'indice minimal recommandé. Bien qu'un tel dépassement des normes puisse compenser certains défauts de construction, lorsque la transmission acoustique apparente est limitée par des voies de transmission latérales, peu d'avantages peuvent être tirés de la surconception d'un élément particulier. Dans un bâtiment réel, la transmission du son apparente dépendrait de l'importance relative des diverses voies de propagation du son. Les voies de transmission latérales du son peuvent donner lieu à des TL(moy) apparents plus faibles que prévu dans les situations sur le terrain. La conception doit également tenir compte des effets des voies indirectes et des portes dans ses calculs pour déterminer le TL(moy) prévu à l'intérieur des limites du local envisagé.
En plus des données sur les murs en blocs de béton recouverts de diverses combinaisons de couches de plaques de plâtre avec des cavités, présentées au tableau 5, on retrouve au tableau 8 les données sur les murs en blocs recouverts d'aucun fini ou d'un fini à fixation directe sans cavité.
Construction | TL(moy)/ITS |
---|---|
Bloc de 190 mm | 50,4 / 50,4 |
Bloc de 190 mm avec plaque de plâtre de 16 mm d'un côté | 50,4 / 50 |
Bloc de 190 mm avec plaque de plâtre de 16 mm sur les deux côtés | 51,6 / 49 |
Bloc de 190 mm, peint d'un côté | 48,7 / 48 |
Bloc de 190 mm peint d'un côté avec plaque de plâtre de 16 mm de l'autre côté | 52,8 / 50 |
Bloc de 190 mm avec plaque de plâtre peinte de 16 mm d'un côté, et plaque de plâtre de 16 mm de l'autre côté | 52,7 / 46 |
Bloc de 90 mm | 44,4 / 44 |
Bloc de 140 mm, 75 % plein | 49,8 / 47 |
Bloc de 140 mm, 75 % plein, peint sur un côté | 50,3 / 48 |
52,8 / 50 | |
Bloc de 140 mm, 100 % plein, peint sur un côté | 52,8 / 50 |
Les valeurs TL(moy) et ITS pour les ensembles de fenêtres et vitrages ordinaires sont présentées au tableau 9. Dans ce cas, les valeurs pour le verre simple ordinaire et le verre feuilleté sont présentées pour différentes épaisseurs de verre, de 3 mm à 13 mm d'épaisseur, et pour certains assemblages courants à double vitrage.
Construction | Valeurs TL(moy)/ITC |
---|---|
Carreau de verre de 3 mm | 28,8 / 30 |
Carreau de verre de 3 mm avec lame d'air de 6 mm, puis un autre carreau de verre de 3 mm | 31,9 / 28 |
Carreau de verre de 3 mm avec lame d'air de 9 mm, puis un autre carreau de verre de 3 mm | 33,1 / 31 |
Carreau de verre de 3 mm avec 0,75 mm de plastique, puis un autre carreau de verre de 3 mm | 34,3 / 35 |
Carreau de verre de 6 mm | 31,3 / 31 |
Carreau de verre feuilleté de 6 mm avec lame d'air de 9 mm, puis un autre carreau de verre de 5 mm | 37,6 / 37 |
Carreau de verre de 6 mm avec 0,75 mm de plastique, puis un autre carreau de verre de 6 mm | 38,5 / 38 |
Carreau de verre de 13 mm | 37,1 / 36 |
Carreau de verre feuilleté de 13 mm avec lame d'air de 50 mm, puis un autre carreau de verre de 9 mm | 46,2 / 46 |
Carreau de verre feuilleté de 13 mm avec lame d'air de 100 mm, puis un autre carreau de verre de 9 mm | 49,6 / 49 |
Les valeurs TL(moy) et ITS pour les portes ordinaires et acoustiques de divers types sont présentées dans les tableaux 10a et b. Les portes sont en acier ou en bois.
Construction | Valeurs TL(moy)/ITC |
---|---|
Acoustique, ITS 40, 6,6 LB/PI2, joints insonorisants magnétiques | 39,6 / 40 |
Acoustique, ITS 46, 12,7 LB/PI2, joints insonorisants magnétiques | 45,1 / 46 |
Acoustique, ITS 49, 12,7 LB/PI2, joints insonorisants magnétiques | 48,3 / 49 |
Acoustique, ITS 40, 6,8 LB/PI2, joints insonorisants à compression | 41,0 / 40 |
Acoustique, ITS 52, 19,0 LB/PI2, joints insonorisants à compression | 51,3 / 52 |
Standard, métallique creuse, calibre 18, 5,4 LB/PI2, sans joints | 17,0 / 17 |
Standard, métallique creuse, calibre 18, 5,4 LB/PI2, coupe-froid en mousse | 26,4 / 28 |
Vestibule, 2 × métallique creuse, calibre 18, 5,4 LB/PI2, sans joints | 31,3 / 34 |
Vestibule, 2 × métallique creuse, calibre 18, 5,4 LB/PI2, joints magnétiques | 50,6 / 49 |
Construction | Valeurs TL(moy)/ITC |
---|---|
Porte acoustique en bois sans seuil cotée ITS 39 | 38,2 / 39 |
Porte acoustique en bois sans seuil cotée ITS 42 | 40,4 / 42 |
Porte acoustique en bois avec seuil cotée ITS 45 | 45,3 / 45 |
Ordinaire, à âme pleine, 4,9 LB/PI2, sans joints | 22,6 / 22 |
Ordinaire, à âme pleine, 4,9 LB/PI2, coupe-froid en mousse | 26,8 / 26 |
Les valeurs TL(moy) et ITS pour divers types et épaisseurs de planchers en béton sont présentées au tableau 11. Le béton employé est soit monolithique, comme ce qu'on retrouve dans les bâtiments à ossature de béton, ou est coulé sur un platelage en tôle ondulée, comme dans les bâtiments à ossature métallique.
Construction | Valeurs TL(moy)/ITC | |
---|---|---|
Béton de 40 mm, platelage en tôle ondulée de 0,4 mm et solives d'acier en C de 203 mm | 42,7 / 42 | |
Béton de 100 mm | 50,7 / 47 | |
Béton sur platelage en tôle de 75 à 150 mm d'épaisseur (finition de 75 mm) | 53,4 / 51 | |
Béton de 150 mm | 56,6 / 52 | |
Béton de 200 mm | 57,6 / 58 |
Mécanique |
|
|
Électricité |
|
|
Architecture |
|
|
Portes et quincaillerie de porte |
|
|
Généralités |
|
Nom | SPC | Description |
---|---|---|
Confidentialité minimale des entretiens | 70 | Quelques mots seront intelligibles au plus une fois toutes les 3 minutes et les sons vocaux seront souvent audibles (au plus une fois toutes les 0,6 minute). |
Confidentialité des conversations standard | 75 |
|
Grande confidentialité des entretiens standard | 80 |
|
Très grande confidentialité des entretiens | 85 |
|
Très grande confidentialité des entretiens | 90 | Entretiens non intelligibles et très rarement audibles (au plus une fois toutes les 11 heures) |
Procédures de mesure
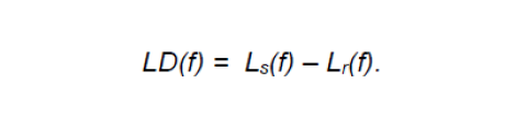
Pour évaluer la confidentialité d'une pièce fermée existante, il faut mesurer l'insonorisation au point d'écoute (LD), et le bruit de fond au point d'écoute (Ln), de sorte que le SPC peut être déterminé.
Récapitulatif
- Un champ acoustique de bruit à large bande est généré à un niveau élevé dans la pièce fermée. Un haut-parleur est placé successivement à deux endroits ou plus dans la pièce.
- Les points de réception à l'extérieur de la pièce fermée, qui sont des points faibles potentiels ou des emplacements possibles pour une écoute clandestine, sont choisis aux fins de mesure.
- Alors que la source fonctionne à chaque emplacement successif dans le local source, des mesures du niveau de pression acoustique sont prises à l'intérieur de la pièce pour obtenir les niveaux du local source et aux points à l'extérieur du local pour obtenir les niveaux de réception.
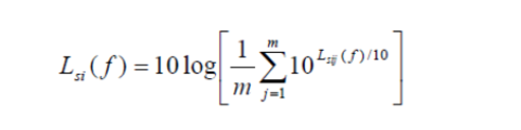
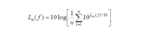
- Lorsque la source est arrêtée, on prend des mesures du niveau de pression acoustique aux points de réception pour obtenir les niveaux de bruit de fond, Ln(f) et Ln(moy).
- Les différences entre les niveaux moyens dans le local source à l'intérieur de la salle et les niveaux reçus à chaque point de réception sont déterminées et servent à calculer LD(f) et LD(moy) pour chaque point de réception.
- Le SPC et la catégorie correspondante de confidentialité des entretiens à chaque point de réception sont déterminés au moyen de l'équation 6.
Équipement de mesure
Source sonore : La source sonore doit être un système de haut-parleurs alimenté par un amplificateur de puissance. L'enceinte doit être à peu près omnidirectionnelle, comme un dodécaèdre avec des haut-parleurs montés sur chaque face.
Signal d'essai : Le signal d'entrée vers les amplificateurs doit être un bruit aléatoire contenant une distribution approximativement uniforme et continue de l'énergie et des fréquences sur chaque bande d'essai. Les sources de bruit électronique blanc ou rose satisfont à cette condition.
Largeur de bande et filtrage : La réponse en fréquence globale du système électrique, y compris le ou les filtres dans les sections de la source et du microphone, doit, pour chaque bande d'essai, être conforme aux spécifications de la norme ANSI S1.11 pour un filtre de bande de tiers d'octave de catégorie 1 ou plus élevée.
Gamme de fréquences : La gamme de fréquences pour la mesure doit être de 16 bandes de tiers d'octave de 160 à 5 000 Hz.Microphones : Il faut utiliser des microphones de mesure de qualité de 13 mm ou moins de diamètre qui sont à peu près omnidirectionnels en dessous de 5 000 Hz.
Les microphones, les amplificateurs et les circuits électroniques servant à traiter les signaux des microphones et à effectuer des mesures doivent satisfaire aux exigences de la norme ANSI S1.4 pour les sonomètres de type 1, sauf que les réseaux de pondération ne sont pas requis.
Procédure de mesure
Emplacements sources
Au moins deux emplacements sources doivent être sélectionnés dans la partie centrale de la pièce fermée. Ces emplacements doivent être espacés d'au moins 1,2 m et doivent être représentatifs des endroits où se trouvent habituellement les locuteurs dans la pièce. Les emplacements sources doivent être à 1,5 m au-dessus du plancher dans la pièce fermée;
Le nombre d'emplacements sources utilisés aura une incidence sur l'incertitude du résultat final, qui peut être calculé conformément à ce qu'indique la section 11. Un plus grand nombre d'emplacements sources se traduira par une incertitude moindre. Les utilisateurs de cette méthode peuvent choisir d'utiliser le nombre minimal d'emplacements sources (c'est-à-dire 2) et obtenir un résultat avec une incertitude inconnue, mais limitée. Les utilisateurs peuvent aussi décider d'une incertitude maximale acceptable et répéter les mesures avec des emplacements sources additionnels jusqu'à ce que des résultats satisfaisants soient obtenus.
Emplacements de réception
Sélectionner les points de réception à l'extérieur de la pièce fermée. Il faut prendre des mesures à tous les emplacements de l'aire de réception lorsqu'on soupçonne des problèmes possibles de confidentialité des entretiens. Les aires situées près des portes, des fenêtres et d'autres types d'éléments faibles à l'intérieur de la pièce sont des emplacements qui devraient évidemment être inclus.
Pour évaluer la transmission vocale à travers les murs et leurs composants (p. ex. les portes), les microphones devraient être installés à 0,25 m de la surface extérieure la plus proche de la pièce fermée et entre 1,2 et 2 m au-dessus du plancher (si le microphone se trouve à moins de 0,25 m, le niveau mesuré est plus sensible à la distance par rapport au mur.).
Vérifier s'il y a d'autres emplacements où des fuites acoustiques pourraient se produire en effectuant des essais d'écoute initiaux. Placer la source sonore près du milieu de la pièce fermée et générer un signal pour que le niveau moyen de pression acoustique dans la pièce soit d'au moins 80 dBA. Fermer toutes les portes et écouter attentivement à l'extérieur de la pièce fermée, près de ses limites; repérer les emplacements où se produiront probablement des fuites acoustiques et prendre des mesures pour évaluer la confidentialité des entretiens. Dans certains cas, il se peut que les emplacements de mesure ne soient pas adjacents aux limites de la pièce. Lorsqu'il y a transmission acoustique depuis la pièce par des voies de transmission latérales, comme des conduits, il faut prendre des mesures ponctuelles aux endroits où une écoute clandestine pourrait avoir lieu.
En plus des endroits déterminés comme des points faibles probables, choisir d'autres emplacements autour de la pièce fermée afin d'assurer une couverture complète et uniforme de la périphérie. Certains points de réception seront situés près des surfaces limites de la pièce fermée. D'autres points peuvent être sélectionnés près des points faibles soupçonnés, comme les ouvertures des conduits de ventilation.
Mesure des niveaux
Lorsque la source fonctionne à chaque emplacement source dans la pièce fermée, la pression acoustique moyenne dans la pièce doit être mesurée de l'une des deux façons suivantes :
Mesurer le niveau de pression acoustique en utilisant au moins cinq emplacements de microphone déterminés. Les microphones doivent être espacés d'au moins 1,2 m, se trouver à au moins 1,5 m de la source sonore et à au moins 1 m des surfaces de la pièce fermée. Il faut mesurer le niveau de pression acoustique Lsij(f) dans chaque bande de fréquences (f) pour chaque combinaison d'emplacement de source i et d'emplacement de microphone j;
Mesurer le niveau de pression acoustique moyen dans chaque bande de tiers d'octave en circulant dans la pièce avec un sonomètre ou un analyseur équivalent pour mesurer les niveaux acoustiques moyens dans le temps Leq. Dans les grandes pièces, l'opérateur doit marcher lentement en déplaçant le microphone dans un mouvement circulaire d'au moins 0,5 m de diamètre devant lui afin d'obtenir un échantillonnage aussi uniforme que possible de l'espace de mesure. Le sonomètre ou le microphone doit être tenu loin du corps de l'opérateur, à au moins 0,5 m (une perche sert à augmenter la distance). La vitesse du microphone doit demeurer aussi constante que possible. L'opérateur doit s'assurer que le parcours n'échantillonne pas une partie du volume de la pièce plus longtemps que les autres parties. Le microphone doit toujours se trouver à plus de 1,5 m de la source sonore et à plus de 1 m des murs de la pièce fermée. Le temps d'intégration doit être d'au moins 30 secondes. Cette mesure doit être répétée pour chaque emplacement source i afin de donner Lsi(f), le niveau moyen dans le local source dans chaque bande pour l'emplacement source i.
Le niveau de pression acoustique doit être mesuré pendant au moins 15 secondes à chaque point de réception stationnaire à l'extérieur de la pièce pour chaque emplacement source i dans la pièce fermée. Mesurer les niveaux de réception lorsque la source fonctionne, Lrni(f), et les niveaux de fond lorsque la source est éteinte, Lni(f).
Note
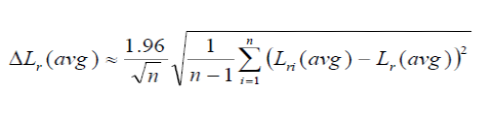
La mesure des niveaux dans la pièce fermée lorsqu'on y circule avec un sonomètre intégrateur ne permettra qu'une estimation approximative de l'incertitude du résultat final. Les procédures facultatives d'estimation de l'incertitude sont présentées à la section 11
Calculs
Tous les calculs doivent être effectués à l'aide de valeurs mesurées non arrondies.
Mesure des niveaux dans le local source
a) Si les mesures dans le local source ont été effectuées à l'aide de microphones à emplacement précis, déterminer Lsi(f), le niveau de pression acoustique moyen dans chaque bande pour l'emplacement source i, comme suit dans l'équation 7 ci-dessous :

où m est le nombre d'emplacements de microphone.
b) Calculer Ls(f), le niveau moyen de pression acoustique de la source dans la pièce fermée, dans chaque bande de fréquence, en utilisant l'équation 8 ci-dessous.

où « n » est le nombre d'emplacements des sources.
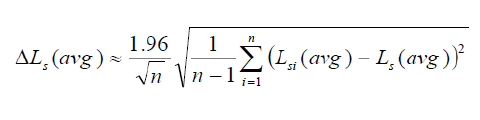
c) Calculer Ls(moy), la moyenne arithmétique du niveau dans le local source sur les 16 bandes de fréquences de tiers d'octave comprises entre 160 et 5 000 Hz à partir de l'équation 9 ci-dessous.

Niveaux de réception à chaque point de réception
a) Pour chaque emplacement source i, on doit corriger le niveau de réception dans chaque bande de fréquences f à chaque point de réception pour tenir compte du bruit de fond comme suit :
- Si la différence Lrni(f) - Lni(f) est supérieure à 10 dB, aucune correction n'est nécessaire pour la prise en compte du bruit de fond, et Lri(f) = Lrni(f).
- Si la différence Lrni(f) - Lni(f) varie entre 5 et 10 dB, la valeur ajustée du niveau de réception, Lri(f), est calculée dans comme suit dans l'équation 10 :
-
Équation 10 - Si la différence Lrni(f) - Lni(f) est inférieure à 5 dB, indiquer Lri(f) = Lrni(f) - 2. Dans ce cas, les mesures ne fournissent qu'une estimation de la limite supérieure du niveau de réception. Indiquer ces mesures dans le rapport d'essai.
b) Calculer Lr(f), le niveau de pression acoustique moyen reçu dans chaque bande pour chaque point de réception au moyen de l'équation 11 :

où « n » est le nombre d'emplacements des sources.
où « n » est le nombre d'emplacements sources. Si l'une des valeurs Lri(f) est limitée par le bruit de fond, alors la valeur Lri(f) correspondante ne fournit qu'une estimation de la limite supérieure du niveau de réception moyen. Indiquer ces mesures dans le rapport d'essai.
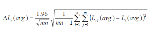
c) Calculer Ls(moy), la moyenne arithmétique du niveau dans le local source sur les 16 bandes de fréquences de tiers d'octave comprises entre 160 et 5 000 Hz à partir de l'équation 12 ci-dessous.

Niveaux de bruit de fond à chaque point de réception
a) Calculer Lr(f), le niveau de pression acoustique moyen reçu dans chaque bande pour chaque point de réception au moyen de l'équation 13 :

où « n » est le nombre d'emplacements des sources.
b) Calculer Ls(moy), la moyenne arithmétique du niveau dans le local source sur les 16 bandes de fréquences de tiers d'octave comprises entre 160 et 5 000 Hz à partir de l'équation 14 ci-dessous.

Différences de niveau
a) Pour chaque point de réception, calculer la différence entre le niveau moyen dans le local source et le niveau de réception moyen dans chaque bande au moyen de l'équation 15 ci-dessous :

b) Pour chaque point de réception, calculer LD(moy), la différence de niveau moyenne sur les 16 bandes de fréquences de tiers d'octave comprises entre 160 et 5 000 Hz, au moyen de l'équation 16 ci-dessous :

Degré de confidentialité des entretiens
a) Pour chaque point de réception, calculer la valeur SPC d'après la somme arithmétique de LD (moy) et de Ln(moy) au moyen de l'équation 17 ci-dessous :

b) Le bruit de fond à l'extérieur de la pièce fermée peut varier de temps à autre, de sorte que la valeur mesurée Ln n'est représentative que de celle observée lors de la période de mesure. Aux fins d'estimation du SPC dans différentes conditions de bruit, le bruit de fond peut également être mesuré à différents moments ou supposé à partir d'autres connaissances.
Précision
a) L'incertitude quant à la valeur SPC mesurée finale dépend de la précision de la mesure des niveaux moyens dans le local source, des niveaux de réception et des niveaux de bruit de fond. La précision des mesures des niveaux moyens de la source et de la réception varie selon la fréquence et les propriétés de la pièce, le nombre d'emplacements sources, le type de haut-parleurs utilisés et le nombre d'emplacements de microphones.
b) On peut calculer l'intervalle de confiance à 95 % pour le SPC en suivant les indications de la section 1. Ce n'est pas obligatoire. Les utilisateurs de cette méthode peuvent décider de ce qu'est un intervalle de confiance acceptable de 95 % et, si le nombre initial d'emplacements sources ne donne pas une valeur acceptable, il faut utiliser davantage d'emplacements sources.
c) En utilisant le nombre minimal spécifié d'emplacements sources et d'emplacements de microphone déterminés (c'est-à-dire 2 emplacements sources, 5 emplacements de microphone) dans un grand nombre de pièces, on a établi l'intervalle de confiance moyen à 95 % pour Ls(moy) à ± 1,1 dB en utilisant des sources omnidirectionnelles et à ± 1,6 dB en utilisant des sources directionnelles [4]. L'incertitude quant à la valeur finale de SPC ne sera pas moindre. Les pièces de moins de 60 m3 ou de plus de 200 m3 dont le temps de réverbération est inférieur à 0,6 s présenteront probablement de plus grandes incertitudes.
Rapport
Consigner les renseignements suivants :
- Énoncé de conformité à la méthode : S'il est vrai à tous égards, indiquer que les essais ont été effectués conformément aux dispositions du présent guide;
- Description de l'environnement d'essai : Donner une description générale de la pièce fermée et de son mobilier. Faire un croquis montrant la relation entre les points de réception et la pièce fermée. Indiquer le volume de la pièce fermée.
- Description de la méthode de mesure : Indiquer le type de haut-parleur utilisé et la méthode de microphone utilisée pour mesurer les niveaux dans la pièce fermée. Indiquer les emplacements sources utilisés sur le croquis de la pièce;
- Énoncé de précision : Si l'intervalle de confiance pour SPC a été calculé, l'indiquer; sinon, indiquer que l'incertitude du résultat n'a pas été déterminée;
- Fournir un tableau donnant les valeurs de Ls(f), et pour chaque point de réception de Lr(f), LD(f) et Ln(f) aux fréquences spécifiées, arrondies à 1 dB près. Déterminer les valeurs Lr(f) et LD(f) qui ont été contaminées par le bruit de fond.
- Fournir un tableau donnant les valeurs de Ls(moy), et pour chaque point de réception, les valeurs de Lr(moy), LD(moy), Ln(moy) ainsi que le SPC. Déterminer les valeurs de Lr(moy), LD(moy) et de SPC qui ont été contaminées par le bruit de fond.
Procédures de conception
À l'étape de la conception, il est nécessaire de préciser un assemblage qui, après la construction, fournira le degré souhaité de confidentialité des entretiens. Habituellement, la seule information disponible à cette étape est l'indice d'affaiblissement acoustique (TL) des échantillons individuels, mesuré en laboratoire selon la méthode E90 de l'ASTM.
Des recherches ont montré que l'indice d'affaiblissement acoustique peut être utilisé pour estimer la différence de niveau entre un champ acoustique uniforme d'un côté d'une cloison et le niveau de réception à 0,25 m de l'autre côté de la cloison [3]. Par conséquent, le SPC peut être estimé à l'étape de la conception. Les concepteurs doivent savoir que la performance des cloisons dans les bâtiments est presque toujours dégradée par une transmission latérale (c'est-à-dire une transmission du son par des voies autres que directement à travers la paroi de séparation nominale) et que la performance en laboratoire n'est habituellement pas obtenue sur le terrain.
Les mesures effectuées dans les pièces sur un grand nombre de murs et pour une large gamme d'absorption acoustique de chaque côté des murs ont démontré que pour un incident uniforme sur le terrain d'un côté d'un mur, le niveau de réception à 0,25 m de l'autre côté peut être estimé à l'aide de l'équation 18 ci-dessous :

où, L0.25(moy) est le niveau de réception à 0,25 m du mur, Ls(moy) est le niveau du champ uniforme du côté source du mur, TL(moy) est l'affaiblissement acoustique du mur et (moy) est la moyenne arithmétique sur les 16 bandes comprise entre 160 et 5 000 Hz. L'équation 18 est exacte à ± 0,5 dB pour la plupart des pièces dont le temps de réverbération est inférieur à environ 1,2 s, et peut être réécrite pour prédire la différence de niveau requise comme suit :

où LD (moy) = Ls(moy) - L0,25(moy).
L'équation 19 peut être utilisée pour prédire le SPC à partir des données sur l'atténuation acoustique au moyen de l'équation 20 comme suit :

Ce qui permet aux concepteurs d'estimer le degré de confidentialité des entretiens à partir des données de laboratoire sur le TL publiées et d'une hypothèse ou connaissance du bruit de fond Ln(moy) dans l'espace d'écoute. Les descriptions du tableau 13 peuvent être utilisées pour établir les critères relatifs au SPC.
À l'étape de la conception, il est difficile d'estimer avec exactitude les niveaux de bruit de fond à chaque position d'écoute potentielle. De plus, les niveaux de bruit de fond varient habituellement au fil du temps et nécessitent des mesures sur de longues périodes pour caractériser avec précision les conditions. Par conséquent, il est souvent nécessaire d'estimer les plus faibles niveaux de bruit de fond probables pour les plans de conception. Ces valeurs ont été obtenues à partir des mesures des variations statistiques des niveaux de bruit de fond près des salles de réunion du gouvernement. Pendant la journée (8 h à 17 h), les niveaux de bruit de fond étaient inférieurs à 35 dBA environ 1 % du temps. Par conséquent, pendant la journée, 35 dBA ou Ln(moy) = 24 dB* représenterait un bon niveau de bruit de fond le plus faible probable dans les calculs du scénario du pire cas en l'absence de valeurs mesurées du niveau de bruit de fond. Lorsque les pièces sont utilisées en dehors des heures de la journée, on peut également utiliser 30 dBA ou Ln(moy) = 19 dB pour le plus faible niveau ambiant convenable probable pour la soirée (17 h à 24 h) et 25 dBA ou Ln(moy) = 14 dB pour la nuit (24 h à 6 h).
[* La conversion de dBA à dB(moy) suppose une forme de spectre typique de -5 dB/octave pour les niveaux de bruit de fond].
Détermination des intervalles de confiance
Niveau dans les pièces fermées
Si on a utilisé la méthode des microphones à emplacements déterminés, calculer l'intervalle de confiance à 95 % pour la moyenne du local source dans les conditions suivantes :
a) Pour chaque mesure de niveaux dans le local source à l'emplacement du microphone j pour l'emplacement source i, calculer la moyenne sur la fréquence Lsij(moy) selon l'équation 21.

b) Calculer l'intervalle de confiance à 95 % pour Ls(moy) selon l'équation 22.

Si on a utilisé la méthode du microphone intégré, déterminer approximativement l'intervalle de confiance à 95 % pour la moyenne du local source dans les conditions suivantes.
a) Pour chaque mesure de niveaux dans le local source à l'emplacement du microphone j pour l'emplacement source i, calculer la moyenne sur la fréquence Lsij(moy) selon l'équation 23.

b) Calculer l'intervalle de confiance à 95 % pour Ls(moy) selon l'équation 24.

Cela équivaut à supposer qu'un grand nombre d'emplacements de réception ont été utilisés.
Niveaux de réception
Pour chaque point de réception, calculer le niveau de réception à fréquences moyennées Lri(moy) pour l'emplacement source i à partir de l'équation 25 :

Calculer l'intervalle de confiance à 95 % pour Lr(moy) selon l'équation 26.

Différences de niveau
Pour chaque point de réception, calculer l'intervalle de confiance à 95 % pour LD(moy) au moyen de l'équation 27.

Niveaux de bruit de fond
Pour chaque point de réception, calculer le niveau de bruit de fond à fréquences moyennées Lni(moy) pour l'emplacement source i à partir de l'équation 28 :

Calculer l'intervalle de confiance à 95 % pour Ln(moy) selon l'équation 29.

SPC
Pour chaque point de réception, calculer l'intervalle de confiance à 95 % pour le SPC au moyen de l'équation 30.

Essais du SPC pendant la phase de construction
Les projets qui exigent des valeurs SPC précises peuvent varier considérablement sur le plan de l'échelle et du calendrier de construction : il peut s'agir d'une salle de réunion unique construite en l'espace de quelques mois ou d'un immeuble rempli de bureaux nécessitant une très grande confidentialité des entretiens construit en l'espace de quelques années. Les essais du SPC pendant la phase de construction, lorsqu'il est possible que les plafonds suspendus ne soient pas en place ou que d'autres finis ne soient pas terminés et que les systèmes de CVCA ne soient pas mis sous tension, posent des difficultés particulières pour déterminer si les résultats de SPC répondent aux attentes. Si l'on choisit d'effectuer des essais du SPC uniquement dans des espaces entièrement finis, ce choix complique la résolution des problèmes, car les finis doivent être enlevés pour accéder aux jonctions des murs et des plafonds, les tuiles de plafond peuvent devoir être enlevées et, dans certains cas, les sections des murs peuvent devoir être reconstruites, etc.
Pendant la phase de construction, étant donné que le niveau de bruit est inconnu et que les systèmes de CVCA ne fonctionnent pas encore, on ne peut pas déterminer la valeur du SPC, car on ne peut pas déterminer le niveau de bruit, qui représente un élément essentiel de l'essai du SPC. Sans le niveau de bruit final, on a le choix de mettre à l'essai seulement la composante « affaiblissement acoustique TL(moy) » du SPC, ou de mettre à l'essai une mesure plus conventionnelle : l'indice de transmission du son (ITS). La mise à l'essai de l'ITS n'équivaut en rien à la mise à l'essai du SPC pour ce qui est de déterminer la confidentialité des entretiens, mais un bon résultat d'ITS est souvent bien corrélé à un bon résultat de SPC, et on peut utiliser la mise à l'essai de l'ITS pour déterminer si des défauts sont présents avant l'application des finis. Grâce à l'expérience acquise dans la mise à l'essai du SPC dans les espaces encore en construction, on a constaté qu'il est souvent impossible de faire des essais du SPC dans ces conditions. Il est également difficile d'expliquer aux entrepreneurs, aux clients, aux architectes et aux gestionnaires de projet la mise à l'essai du SPC sans données réelles sur le bruit de fond, car on ne peut prédire le SPC que si le bruit a bel et bien telle ou telle valeur une fois l'immeuble terminé. Les gens préfèrent des réponses définitives lorsqu'ils ont commandé des essais, et sans le bruit réel, on ne peut pas donner une valeur réelle du SPC qui représente la valeur finale.
En mettant le système de CVCA hors tension, un essai d'ITS fournit une réponse définitive même pendant la construction, à laquelle toutes les parties peuvent se rapporter indépendamment du bruit de fond, avec une indication de ce que pourrait être le TL(moy). Les essais du SPC peuvent être effectués à la fin de l'étape de la construction afin de valider la confidentialité des entretiens. Étant donné que les valeurs SPC dépendent des lieux d'écoute choisis par le testeur, comme près des portes ou des jonctions, il est possible que différents testeurs obtiennent des résultats différents pour les mêmes pièces, ce qui peut causer des difficultés d'interprétation pendant le processus de construction, en raison des contraintes de temps, qui sont courantes. On peut obtenir plus rapidement les résultats des essais d'ITS pendant la construction, car les essais d'ITS permettent d'obtenir des résultats plus répétables, la procédure dépendant beaucoup moins de l'emplacement des essais. Pendant la construction, on recherche les problèmes et les façons de les résoudre non seulement avant que le client n'emménage, mais aussi le plus tôt possible au cours de la construction. Ce moment arrive lorsque tous les murs sont entièrement construits et scellés, que les portes sont installées avec leur quincaillerie et que les joints d'étanchéité des portes sont ajustés. Mais il n'est pas nécessaire d'avoir installé des tapis, des carreaux de plafond, des ouvrages de menuiserie ou d'avoir appliqué de la peinture ou d'autres finis. Les résultats d'essais d'ITS peuvent ensuite être liés aux résultats attendus d'ITS pour le type de construction mis à l'essai, et l'équipe de construction peut déterminer si la construction donne les résultats attendus ou si des mesures correctives sont nécessaires avant de poursuivre la construction.
Le meilleur scénario pour assurer un résultat de SPC élevé dans le cadre d'un projet à grande échelle consiste à construire et à mettre à l'essai un échantillon d'ouvrage en vraie grandeur à la fois pour le SPC et pour l'ITS. Une fois qu'on a obtenu les résultats requis de SPC pour l'échantillon d'ouvrage en vraie grandeur, on peut procéder à des essais d'ITS sur l'échantillon d'ouvrage, puis utiliser ces résultats d'ITS comme un bon indicateur du résultat attendu pour le SPC. Puis, nous pourrions facilement obtenir les résultats d'ITS pendant la phase de construction et avoir une très bonne idée de ce que le SPC finirait par être. Bien entendu, les échantillons d'ouvrage en vraie grandeur ne sont pas la norme, mais un ITS faible ou inférieur aux prévisions indique habituellement un TL(moy) faible et constitue donc un bon outil de diagnostic pendant la phase de construction. Une fois que tout est terminé, on peut passer à l'essai du SPC.
Documents de référence et documents sources
- Grande confidentialité des entretiens : Guide des règles de l'art, SPAC, DGBI, mars 2002
- Normes d'aménagement en milieu de travail du gouvernement du Canada, SPAC, DGBI, mai 2019
- Système national de gestion de projet de SPAC
- IM 15000 - 2012, Norme environnementale de mécanique concernant les immeubles à bureaux fédéraux.
- Guide de sécurité : Normes d'insonorisation des nouvelles constructions, DSS/GS12 (août 1988).
- GRC, Guide pour l'établissement des zones de sécurité matérielle, G1-026, septembre 2005, https://grc.ca/fr/principal-organisme-responsable-securite-materielle/directives-et-publications
Voici une liste des sections du DDN qui se rapportent directement aux matériaux et aux méthodes de construction qui ont un effet sur la performance acoustique :
- 07 21 13 - ISOLANTS EN PANNEAUX. Comprend différentes formes d'isolants en panneaux et leur installation, ce qui inclut la fondation périphérique, les murs creux et la toiture
- 07 84 00 - PROTECTION COUPE-FEU
- 07 92 00- PRODUITS D'ÉTANCHÉITÉ POUR JOINTS
- 08 11 19 - STAINLESS STEEL DOORS AND FRAMES. Cette section fournit des renseignements sur l'installation des portes et des bâtis en acier ainsi que sur la préparation des produits d'étanchéité acoustique. D'autres détails acoustiques peuvent être incorporés.
- 08 14 16 - PORTES PLANES EN BOIS. Cette section contient à peu près les mêmes renseignements que la section qui traite des portes en acier
- 08 35.13.13 - PORTES ACCORDÉON. Comprends les portes pliantes (revêtement de parement, âme et charnières), rails et dispositifs de suspension, pièces de quincaillerie et finition. Comprend les portes insonorisées.
- 08 35.13.33 - PORTES PLIANTES À PANNEAUX. Comprends les portes pliantes (revêtement de parement, âme et charnières), rails et dispositifs de suspension, pièces de quincaillerie et finition. Comprend les portes insonorisées.
- 08 80 50 - VITRAGE
- 09 21 16 - REVÊTEMENTS EN PLAQUES DE PLÂTRE. Cette section porte sur les différents types de plaques de plâtre (coupe-feu, etc.), et sur l'application des matériaux connexes, dont le calfeutrage, l'emplacement des joints, la taille maximale des jeux, etc.
- 09 22 16 - CHARPENTES MÉTALLIQUES - NON PORTEUSES. Cette section porte sur l'installation des ossatures, y compris les profilés souples, le calfeutrage et d'autres détails acoustiques.
- 09 51 13 - ÉLÉMENTS ACOUSTIQUES POUR PLAFONDS. Éléments acoustiques pour plafonds constitués de panneaux acoustiques déposés sur une ossature apparente suspendue.
- 09 58 00 - PLAFONDS SUSPENDUS. Plafond suspendu auquel sont intégrés des éléments acoustiques, des appareils d'éclairage, une protection contre le feu, etc.
- 09 80 00 - TRAITEMENT ACOUSTIQUE. Comprend les matériaux en vrac, les produits à appliquer par pulvérisation ou fabriqués sous forme de matelas de même que, entre autres, les éléments acoustiques démontables, en fibres de bois agglomérées au liant hydraulique et en verre cellulaire.
- 23 32 48 - ATTÉNUATEURS ACOUSTIQUES. À l'aide des exigences de performance, sélectionner les éléments pour les matériaux absorbants et isolants, les silencieux et les plénums acoustiques. Comprend l'installation et le contrôle de la qualité sur place.
- 23 33 46 - CONDUITS D'AIR FLEXIBLES. Comprend une diversité de conduits flexibles, métalliques ou non, calorifugés ou non et insonorisés (pression moyenne et haute pression).
- E2020 - ÉLÉMENTS AMOVIBLES DE MOBILIER ET ACCESSOIRES CONNEXES. Concerne les exigences relatives aux systèmes de mobilier et de composants autostables pour postes de travail, y compris les cloisons acoustiques, les tables et les autres surfaces de travail, les éléments de rangement horizontaux et verticaux, les armoires en acier de même que les fauteuils et les autres types de sièges.
- « Gypsum Board Walls: Transmission Loss Data », R.E. Halliwell, T.R.T. Nightingale, A.C.C. Warnock et J.A. Birta, IRC-CNRC, rapport interne, IR-761 (mars 1998). (Remarque : Ce rapport présente des données sur l'atténuation acoustique dont on peut se servir pour calculer les valeurs Tl(moy), https://doi.org/10.4224/20331556
- « Sound Transmission Through Building Components », J.D. Quirt, Proceedings Building Science Insight '85 (1985)
- « Building Acoustics in Practice », A.C.C. Warnock, Proceedings Building Science Insight '85 (1985)
- « Controlling Sound Transmission through Concrete Block Walls », A.C.C. Warnock, Construction Technology Update 13 (mai 1998)
- « Developments in Noise Control (in buildings) », A.C.C. Warnock, Proceedings of Building Science Insight '90 (1990)
- « Facteurs modifiant la perte de transmission du son », A. C. C. Warnock, IRC-CNRC CBD- 239F (juillet 1985), https://doi.org/10.4224/20328703
- « Measures for assessing architectural speech security (privacy) of closed offices and meeting rooms », B.N. Gover, and J.S. Bradley, J. Acoust. Soc. Am. 116 (6) 3480-3490 2004). https://asa.scitation.org/doi/10.1121/1.1810300
- « Some Spatial and Temporal Effects on the Speech Privacy of Meeting Rooms », J.S. Bradley, M. Apfel, M. and B.N Gover, J. Acoust. Soc. Am., 125 (5) 3038-3051 (2009). https://asa.scitation.org/doi/full/10.1121/1.3097771
- « Speech Levels in Meeting Rooms and the Probability of Speech Privacy Problems », J.S. Bradley and B.N. Gover, J. Acoust. Soc. Am. 127 (2) 815-822 (2010). https://asa.scitation.org/doi/10.1121/1.3277220
- « Speech and Noise Levels Associated with Meeting Rooms », J.S. Bradley and B.N. Gover, IRC Research Report RR-170, March (2004), revised December (2004). https://nrc-publications.canada.ca/eng/view/object/?id=996b19a5-6cde-4a65-8d6a-6402a97c9cb5
- « Effect of Electrical Outlet Boxes on Sound Insulation of a Double Leaf Wall », T.R.T. Nightingale, rapport de recherche de l'IRC, IR-772, octobre 1998, https://doi.org/10.4224/20331238
- Gover, B.N.; Bradley, J.S., « Measures for Assessing Architectural Speech Security », Rapport de recherche, Institut de recherche en construction, Conseil national de recherches Canada, novembre 2004. (IRC-RR-171). https://doi.org/10.4224/20378300
- Bradley, J.S.; Gover, B.N., « Validation of Architectural Speech Security Results », rapport de recherche, Institut de recherche en construction, Conseil national de recherches Canada, mars 2006. (IRC-RR-221). http://www.nrc-cnrc.gc.ca/obj/irc/doc/pubs/rr/rr221/rr221.pdf
- Bradley, J.S.; Gover, B.N., « Measurement of Sound Transmission from Meeting Rooms », rapport de recherche, Institut de recherche en construction, Conseil national de recherches Canada, mars 2006. (IRC-RR-220) http://www.nrccnrc.gc.ca/obj/irc/doc/pubs/rr/rr220/rr220.pdf
- Bradley, J.S. et Gover, B.N., « Speech Levels in Meeting Rooms and the Probability of Speech Privacy Problems », Journal of the Acoustical Society of America 127 (2) p. 815-822 (2010).
- « Guide for Assessment of the Architectural Speech Privacy and Speech Security of Closed Offices and Meeting Rooms », B.N. Gover et J.S. Bradley, rapport de l'IRC, RR-276, 1er mars 2009, (révisé le 18 février 2010). https://doi.org/10.4224/20374073
- The American Society of Heating, Refrigeration and Air Conditioning Engineers; « 2019 Handbook on HVAC Applications », chapitre 48 - Noise and Vibration Control. Ce manuel contient des données de conception très utiles et constituent d'excellentes références pour les ingénieurs mécaniciens et les entrepreneurs en installations mécaniques
- ASTM1374-18e1, « Standard Guide for Open Office Acoustics and Applicable ASTM Standards », ASTM International, West Conshohocken, PA, É.-U. (2010)
- ASTM E2638-10-R17, « Standard test method for objective measurement of the speech privacy provided by a closed room », ASTM International, West Conshohocken, PA, É.-U. (2010)
- ASTM E336-19a, « Standard Test Method for Measurement of Airborne Sound Attenuation between Rooms in Buildings », ASTM International, West Conshohocken, PA, É.-U. (2010)
- ASTM E1110-06(2019) « Standard Classification for Determination of Articulation Class », ASTM International, West Conshohocken, PA, É.-U. (2010)
- ASTM E1111/E111M-14 « Standard Test Method for Measuring the Interzone Attenuation of Open Office Components », ASTM International, West Conshohocken, PA, É.-U. (2010)
- ASTM E1130-16, « Standard Test Method for Objective Measurement of Speech Privacy in Open Plan Spaces Using Articulation Index », ASTM International, West Conshohocken, PA, É.-U. (2010)
- ANSI S3.5-1997 (R2017) « Methods for the Calculation of the Speech Intelligibility Index » 25W 43rd Street, 4e étage, New York, NY, 10036
- ASTM E2638-10, « Standard test method for objective measurement of the speech privacy provided by a closed room », ASTM International, West Conshohocken, PA, É.-U. (2010), http://www.ASTM.org
Promulgation
- Révisé et recommandé en vue de l'approbation.
-
J'ai examiné le document GSMGC-017 (2024) - Guide de construction des zones de discussion sécurisées, et, par la présente, je recommande son approbation.
Shawn Nattress
Gestionnaire
Principal organisme responsable de la sécurité matérielle de la GRC
2024-02-08 - Approuvé
-
Par la présente, j'approuve le document GSMGC-017 (2024) - Guide de construction des zones de discussion sécurisées.
Andre St-Pierre
Directeur, Sécurité matérielle
Gendarmerie royale du Canada
2024-02-08
- Date de modification :